Предмет: Математика,
автор: Аноним
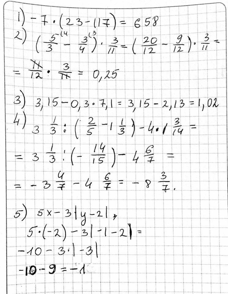
Помогите очень надо решить эти примеры !
Приложения:
Ответы
Автор ответа:
0
Надеюсь, всё решено верно. Удачи!
Приложения:
Похожие вопросы
Предмет: История,
автор: grisenkovalerij80
Предмет: Математика,
автор: BOBIK228836
Предмет: Математика,
автор: Sanaartemenko54
Предмет: Математика,
автор: 35626665
Предмет: История,
автор: Артем199119