Предмет: Алгебра,
автор: Fyodr
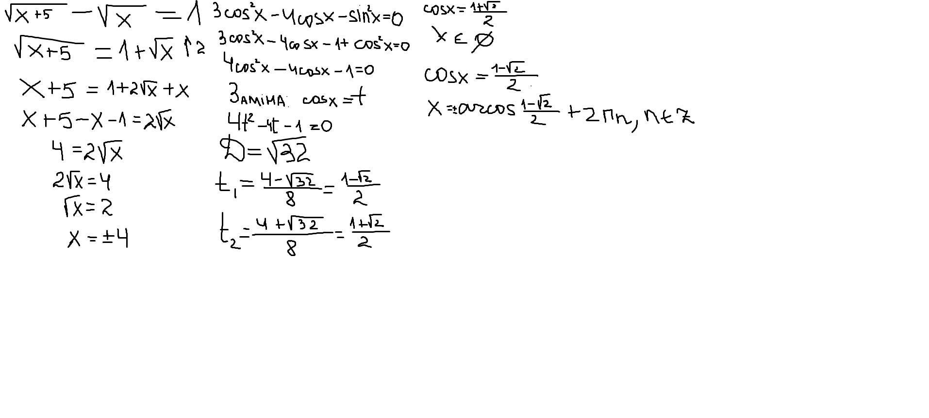
1) 3cos^2x-4cosx-sin^2x-2=0
2)корень(x+5) - корень(х) = 1
Решите пожалуйста
Ответы
Автор ответа:
1
))))))))))))))))))))))))))))))))))))))))))))))))))))))))))))))))))))))))))))))
Приложения:
Fyodr:
спасибо огромное
Похожие вопросы
Предмет: Литература,
автор: Khomchik2008
Предмет: Математика,
автор: galinadrucenko
Предмет: Математика,
автор: annamahmutova348
Предмет: Физика,
автор: хеллуин1