Предмет: Алгебра,
автор: Narniyets01
РЕШИТЕ, ПОЖАЛУЙСТА!!!
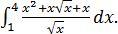
Вычислите интеграл
Приложения:
Ответы
Автор ответа:
1
Автор ответа:
1
Ответ:
Объяснение:
вот
Приложения:
Похожие вопросы
Предмет: Литература,
автор: cirinamila
Предмет: Українська мова,
автор: kristinaoper8
Предмет: Английский язык,
автор: gg4dat
Предмет: Математика,
автор: Sashadobrix