Предмет: Математика,
автор: Аноним
Ученикам 6 класса ВОПРОС
(дядям и тётям старше 13 лет
просьба не напрягаться)
Приложения:
Ответы
Автор ответа:
0
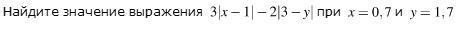
1)x-1= 0,7-1= -0,3 так как вектор, то минус не учитывается
2)3-y= 3- 1,7= 1,3
3)3*/x-1/= 3*0,3= 0,9
4)2*/3-y/= 2*1,3= 2,6
5)0,9-2,6= -1,7
VоЛk:
Вектор?!
Автор ответа:
0
3|0.7-1|-2|3-1.7|
3|-0.3|-2|1.3|
3×0.3-2×1.3
0.9-2.6
-1.7
Похожие вопросы
Предмет: Математика,
автор: flexible7054
Предмет: Математика,
автор: sahacasder
Предмет: Биология,
автор: anyav24
Предмет: Химия,
автор: dashulyasoldatova
Предмет: Математика,
автор: ирина1247