Предмет: Алгебра,
автор: ofach
решите пожайлуста это
Приложения:
Уголёк34:
Скоро решу
Ответы
Автор ответа:
0
(x-3)²/(x-6)≥0 x≠6
(x-3)²≥0
x-6>0
x∈(6;+∞)
(x-3)²<0
x-6<0
x∈∅
в пересечении получаем (6;+∞)
наименьшее целое число 7
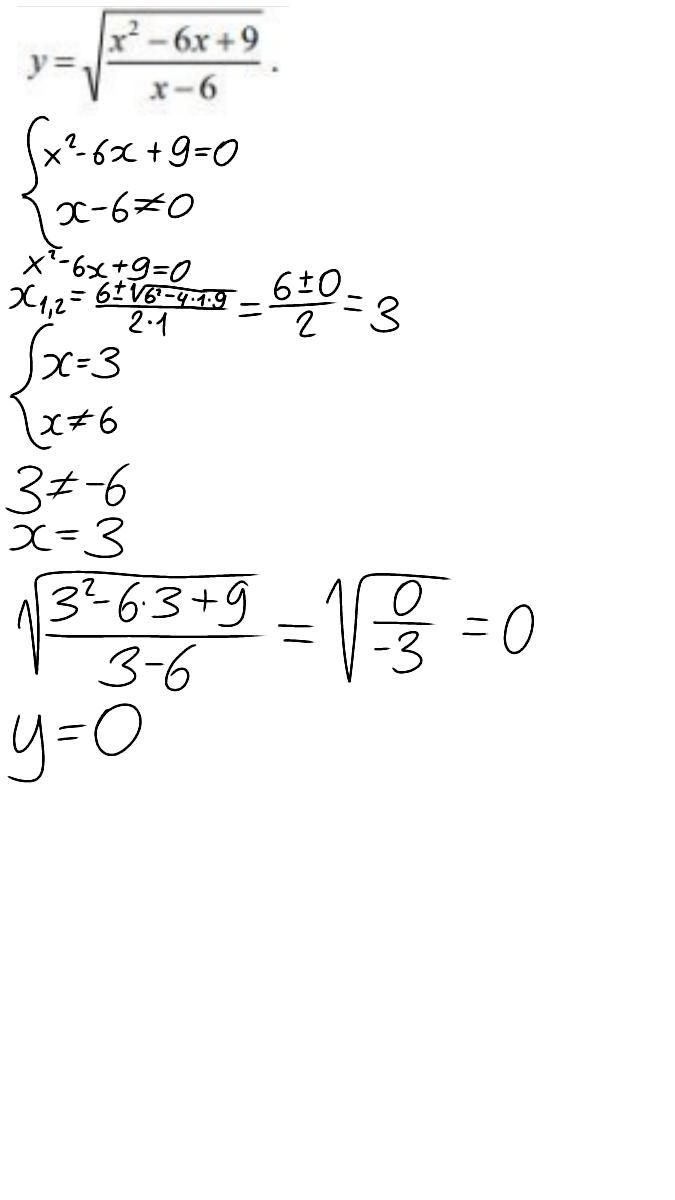
Автор ответа:
0
Ответ: на фото, меньшее число 0
Объяснение: мы в школе решаем всё так, так что если не верно, извините.
Приложения:
Похожие вопросы
Предмет: Русский язык,
автор: abupoptt
Предмет: География,
автор: shemeleva005
Предмет: Химия,
автор: timurguseinov01
Предмет: Математика,
автор: belani6971