Предмет: Алгебра,
автор: sashapichugina
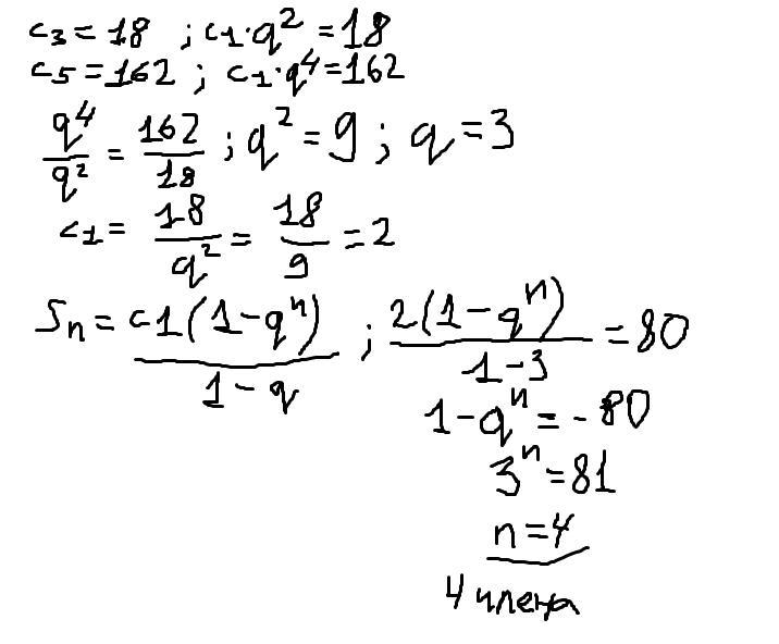
Дана геометрическая прогрессия (
) с положительными членами
и
. Сколько членов прогрессии нужно взять, чтобы их сумма равнялась 80?
Ответы
Автор ответа:
2
Ответ:
Объяснение:
решение в приложении
Приложения:
Похожие вопросы
Предмет: Физика,
автор: cfybkyzefbitt
Предмет: Українська література,
автор: olegyk55
Предмет: Українська мова,
автор: mandziyolya
Предмет: Математика,
автор: olejnickovaira
Предмет: Математика,
автор: НастяLove11111