Предмет: Математика,
автор: mmmm5118
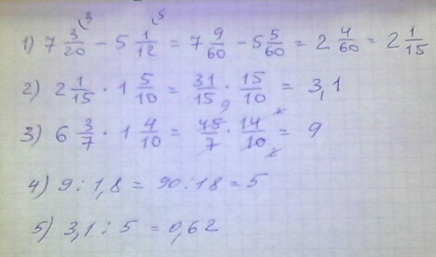
Выполните действия
Даю 50 баллов
Приложения:
jekadva:
1) = 31/50
Ты дурак я даю 50.. Баллов она врёт
Jekadva, чево
2) = 32
Дайте ответ
Ответы
Автор ответа:
0
= решение = решение = решение = решение = решение =
Приложения:
Похожие вопросы
Предмет: Українська мова,
автор: Ndndndndns
Предмет: Математика,
автор: hikosta70
Предмет: Право,
автор: melnicenkoura434
Предмет: Математика,
автор: marsiyanka
Предмет: Математика,
автор: Максим14434632