Предмет: Математика,
автор: pratakol21
Помогите решить! В школу через 10 минут !
Приложения:
Ответы
Автор ответа:
0
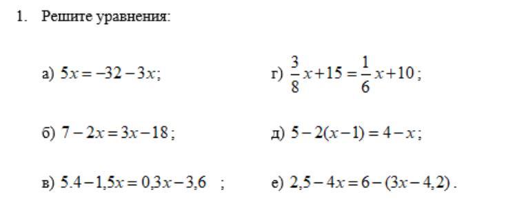
1. 5х+3х=-32
8х=-32
х=-4
2.-2х-3х=-18-7
-5х=-25
х=5.
Похожие вопросы
Предмет: Математика,
автор: itkulovasofa2010
Предмет: Английский язык,
автор: indanezageografia
Предмет: Математика,
автор: salawatstar
Предмет: Литература,
автор: alenaiurlova
Предмет: Геометрия,
автор: VikaVadim123