Предмет: Математика, автор: masmaks13

Типовой расчёт по интегралам, подробно плиз!!!

Приложения:

Ответы

Автор ответа: natalyabryukhova
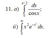
1

Ответ:

Интегралы=======================================

Пошаговое объяснение:

Приложения:

masmaks13: Огромное вам спасибо!!!))
Похожие вопросы
Предмет: Қазақ тiлi, автор: dzalmuratovad
ТЫҢДАЛЫМ оқылым 4-тапсырма. Мәтінді тыңда. Оқы. ағаштан бұйымдар жасайды. Атамның жанында кеменшiсi бар. Ол кісілер Менің атам – ағаш шебері. Атамның шеберханасы бар. Шеберханада былтыр ағаштан қамшы, домбыра, қобыз насады. Оларды оюмен ернеу теді. Домбыраның бетіне «қошқармүйіз» ернегін салды. Қобыздың бетіне «мүйіз» өрнегін салды. Ал қамшының сабына «сынықмүйіз» ернегін салды Былтыр Қазақстан Республикасы Ұлттық мұран айында Қазақ ханды ғының 550 жылдығына арналған «Зергерлік өнер» атты керме етті. Атам көрмеге ағаштан жасаған бұйымдарын қойды. Кермеге келушілер қоленер бұйымдарын ұнатып, қызықты. Көрмеге «Әдемі-ай» өнер мұражайындағы сирек кездесетін зергер лік бұйымдар қойылды, «Әдемі-ай» өнер мұражайының 2011 жылы бел гілі коллекция жинаушы, өнертанушы Баһаргүл Телеген ашқан еді. Қазір мұражайда 1000-нан астам экспонат бар. Онда біздің заманымызға дейін пі І-ІІІ және VI-XII ғасырлардағы археологиялық ескерткіші бар. Көрмеге «Әдемі-ай» компаниясының Қазақ хандығының 550 жылдығына арнап дайындаған сәндік-қолданбалы өнер бұйымдары мен ұлттық кәдесыйлары да қойылды. Әшекейлер қазақ халқының тарихынан сыр шертеді. Зергер лік бұйымдар ұлттық мәдениетіміздің дамуын көрсетеді. Ұлы даланың қол өнер туындылары мәңгі жасайтынына көзім жетті. Перевести текст​
Предмет: Литература, автор: жека1631