Предмет: Алгебра, автор: naidenovaanya230932

Ребят,помогите пожалуйста! ОЧЕНЬ НУЖНО! СКОЛЬКО СМОЖЕТЕ! БУДУ БЛАГОДАРНА! :(

Приложения:

Ответы

Автор ответа: Ляляляля109
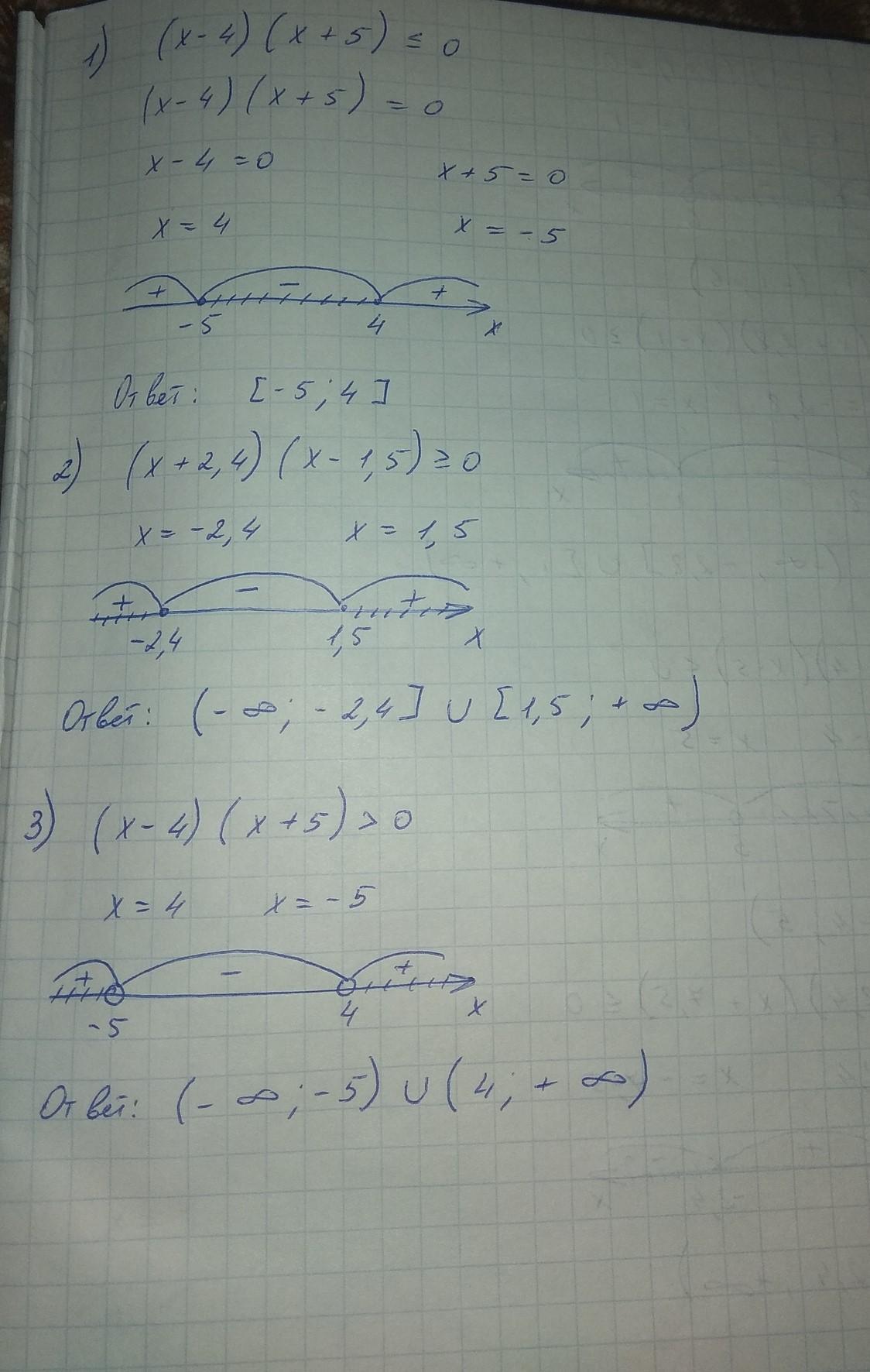
1

Все на фото, если что каждое выражение приравниваешь к нулю и ищешь корни. В первом расписала, дальше писала только корни. Также, там где выколотые точки, там они выколоты из-за знака в неравенстве, то есть если оно строгое(нет черточки обозначающей равно), то точки выколоты.

Приложения:

naidenovaanya230932: ОГРОМНОЕ СПАСИБО
naidenovaanya230932: А про точки я поняла
Похожие вопросы
Предмет: Химия, автор: galyaminnekit
Тест по химии Срочно 63 балла!

Тест по теме: Коррозия металлов. Способы борьбы с коррозией
2 вариант
1. Наиболее активно корродирует:
а) техническое железо
б) химически чистое железо
в) железо, покрытое слоем олова
г) сплав железа с хромом и никелем
2. Требуется скрепить алюминиевые детали. Каким металлом необходимо воспользоваться:
а) магний
б) железо
в) цинк
г) медью
3. К методам защиты металлов от коррозии относится:
а) окисление
б) влажность
в) сплавление
г) воронение
4. При лужении железа оно покрывается тонким слоем:
а) меди
б) цинка
в) олова
г) никеля
5. Вещества, введение которых уменьшает агрессивность среды, называют:
а) катализаторы коррозии
б) ингибиторы коррозии
в) активаторы коррозии
г) протектор
6. Химическую коррозию вызывают:
а) кислород
б) хлор
в) оксиды серы
г) верны все ответы
7. Присоединение к защищаемому металлу другого, более активного металла называется:
а) металлопокрытие
б) контактная защита
в) протекторная защита
г) лужение
8. Электрохимическую коррозию металлов вызывает:
а) контакт металла с кислородом
б) контакт металла с оксидом серы
в) контакт с другими металлами
г) контакт металла с водой
9. В качестве легирующих добавок при получении нержавеющей сталей используют:
а) Zn и Mn
б) Cr и Ni
в) Ni и Cu
г) Ag и Au
10. Самопроизвольное разрушение металлов называется:
а) оксидирование
б) хромирование
в) коррозия
г) эрозия​
Предмет: Математика, автор: 12alfia2004