Предмет: Математика,
автор: iTonya2605
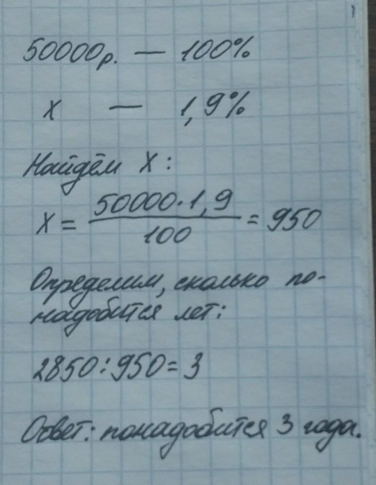
В банк, который даёт 1,9% годовых, положили 50000 р. Определи, через какое время общий доход с этой суммы составит 2850 р., если каждый год снимать начисленные проценты.
Ответы
Автор ответа:
1
Ответ на фотографии
Приложения:
Похожие вопросы
Предмет: География,
автор: GaruXoPlay892
Предмет: Русский язык,
автор: Skrudj1236
Предмет: Другие предметы,
автор: Аноним
Предмет: Математика,
автор: Арсен170705
Предмет: Математика,
автор: haritonovaekat