Предмет: Математика,
автор: nekonik
ПОМОГИТЕ СРОЧНО, ПОЖАЛУЙСТА
СИСТЕМА УРАВНЕНИЙ
РАЗНЫМИ СПОСОБАМИ
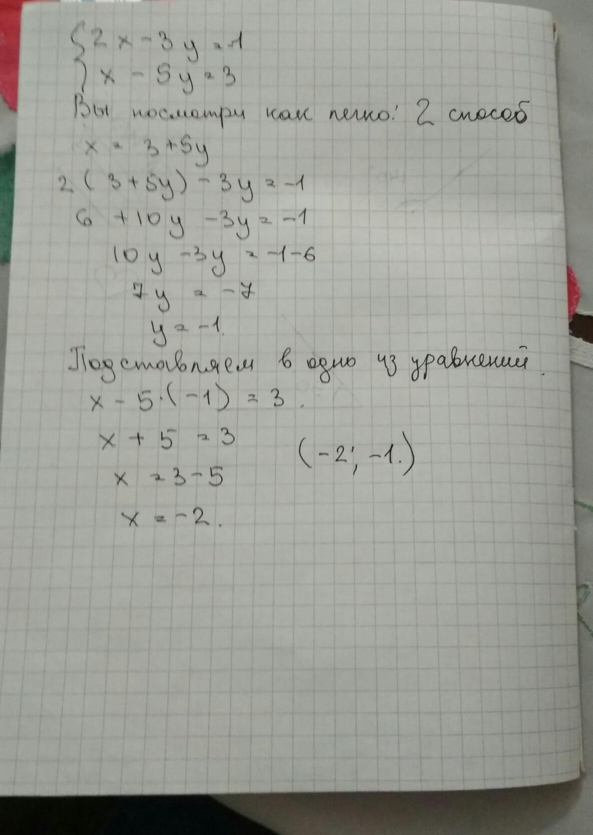
Приложения:
Ответы
Автор ответа:
2
вот 2 способа решения во вложении:Точно правильно оба способа...
Приложения:
nekonik:
Спасибо большое тебе
Похожие вопросы
Предмет: Алгебра,
автор: mariaudina2468
Предмет: Алгебра,
автор: aoreps
Предмет: Математика,
автор: dashakovalchuk19
Предмет: Математика,
автор: Аноним
Предмет: Математика,
автор: Аминаа