Предмет: Алгебра, автор: pavek813

Алгебра 10-11 класс. Помогите с нахождением производной! 80 Баллов

Приложения:

Ответы

Автор ответа: NNNLLL54
1

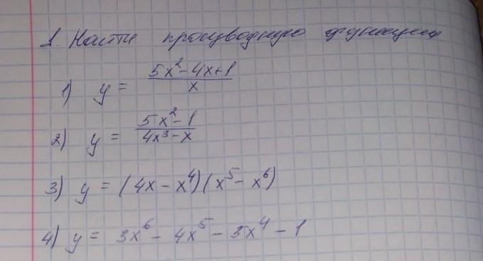
1)\; \; y=\frac{5x^2-4x+1}{x}=5x-4+x^{-1}\\\\y'=5-x^{-2}=5-\frac{1}{x^2}\\\\2)\; \; y=\frac{5x^2-1}{4x^3-x}\\\\y'=\frac{10x\, (4x^3-x)-(5x^2-1)(12x^2-1)}{(4x^3-x)^2}=\frac{40x^4-10x^2-(60x^4-5x^2-12x^2+1)}{(4x^3-x)^2}=\\\\=\frac{-20x^4-7x^2-1}{(4x^3-x)^2}\\\\3)\; \; y=(4x-x^4)(x^5-x^6)\\\\y'=(4-4x^3)(x^5-x^6)+(4x-x^4)(5x^4-6x^5)\\\\4)\; \; y=3x^6-4x^5-5x^4-1\\\\y'=18x^5-20x^4-20x^3

Автор ответа: solving05
1

Ответ:

Объяснение:

Решение в приложении

Приложения:
Похожие вопросы
Предмет: Геометрия, автор: foxsshcool
Предмет: Литература, автор: rusnaumov2015