Предмет: Алгебра,
автор: машунечка03
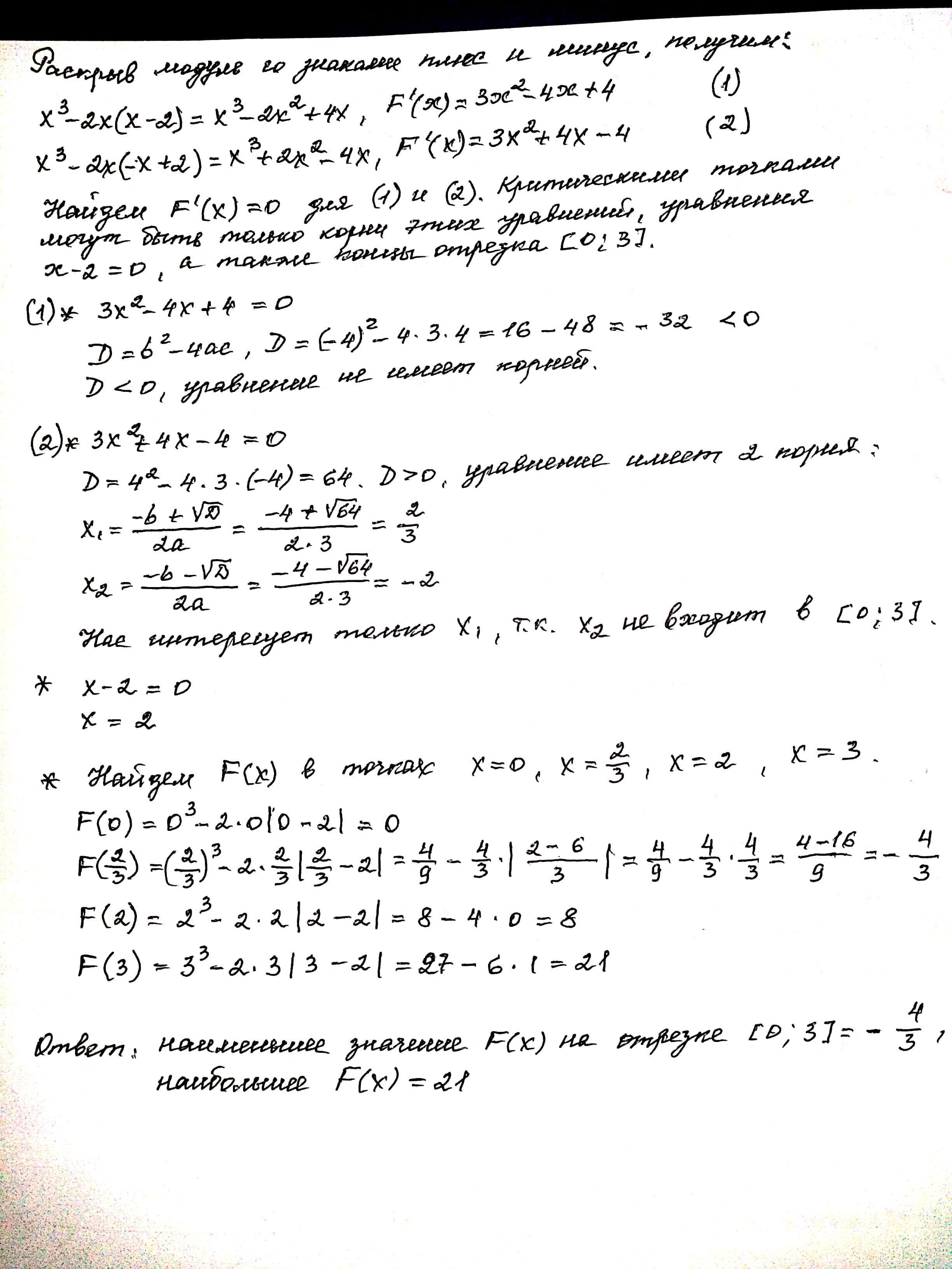
F(x)=x^3-2x|x-2| [0;3] наибольшее наименьшее значение функции. я серьезно,мне не нужен бред в ответах
Ответы
Автор ответа:
1
Ответ:
Объяснение: Решение в прикрепленном файле
Приложения:
Похожие вопросы
Предмет: Алгебра,
автор: Vasingleb7220
Предмет: Физика,
автор: yanfunnyboy
Предмет: Математика,
автор: katyaunic
Предмет: Алгебра,
автор: foiefbfnv