Предмет: Математика,
автор: belodedovamaria
Помогите пожалуйста!
Приложения:
Ответы
Автор ответа:
1
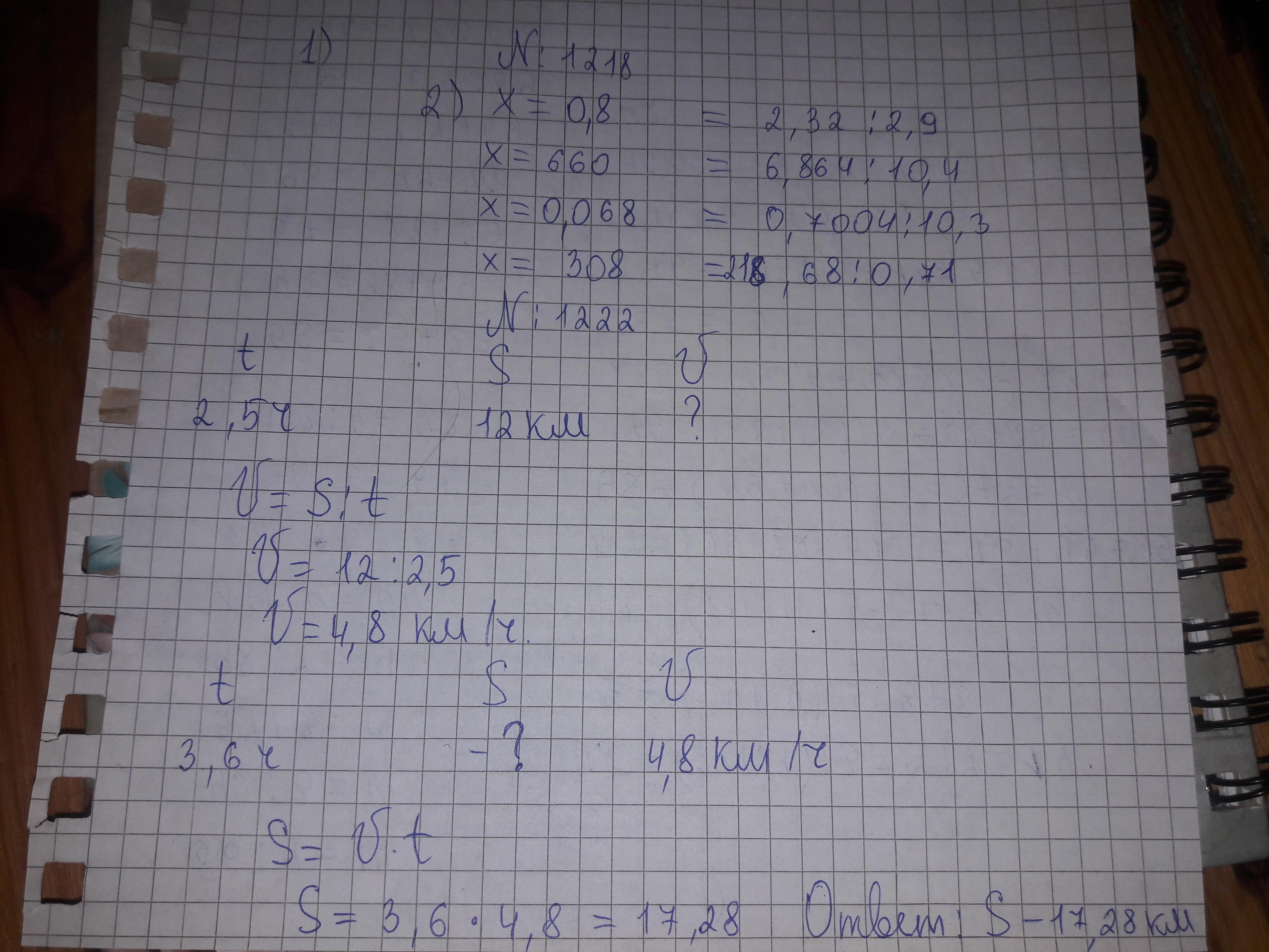
Уравнения все решать или только 2?
Приложения:
belodedovamaria:
Только 2
Я с формулами решила S- растояние;t- время;v-скорость
Спасибо! thanks!
Похожие вопросы
Предмет: История,
автор: Аноним
Предмет: Қазақ тiлi,
автор: madakaz2010
Предмет: Русский язык,
автор: kimmax1p
Предмет: Алгебра,
автор: hilkou
Предмет: География,
автор: нион1