Предмет: Математика, автор: elitakerimova2001

помогите пожалуйстааа

Приложения:

Ответы

Автор ответа: Guerrino
1

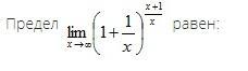
\lim\limits_{x\to \infty} (1+\frac{1}{x})^{\frac{x+1}{x}}=\lim\limits_{x\to \infty} e^{\frac{1}{x}+\frac{1}{x^{2}}}=e^{0}=1;

Можно было и иначе:

\lim\limits_{x\to \infty} (1+\frac{1}{x})^{\frac{x+1}{x}}=\lim\limits_{t\to1 }t^{t}=1

Похожие вопросы
Предмет: Математика, автор: danilaratushny
Предмет: Математика, автор: baahmetovnauryz