Предмет: Алгебра,
автор: Pepegga
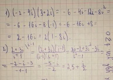
4. Выполните действия:
1) (-2-4i) · (3+2i) 2) (2+3 i) \ (i+1)
Ответы
Автор ответа:
1
Пояснение: во втором примере домножаем на сопряженное.
Удачи)
Приложения:
Похожие вопросы
Предмет: Геометрия,
автор: irunkaretro
Предмет: Литература,
автор: mironukata2010g
Предмет: История,
автор: mariacepec1808
Предмет: Алгебра,
автор: EloviyKartofel
Предмет: Математика,
автор: goncharovstas20