Предмет: Алгебра,
автор: jungkook2taehyung
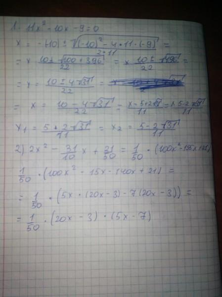
11х²-10х-9=0 решение а не просто ответ
и еше это
2х²-3,1x+0,42
спасибо
Ответы
Автор ответа:
1
Ответ:
Объяснение:
Держи, надеюсь помогла
Отметь, пожалуйста, решение как лучшее
Приложения:
jungkook2taehyung:
спасибо огромное
Похожие вопросы
Предмет: Английский язык,
автор: kumarbekovagulshan
Предмет: Математика,
автор: Veronika0807ver
Предмет: Окружающий мир,
автор: Аноним
Предмет: Литература,
автор: superdudkaira