Предмет: Математика,
автор: Аноним
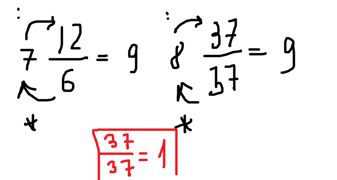
запишите числа 7 12/6 8 37/37 в виде натурального числа
Ответы
Автор ответа:
0
7; 2; 8 ; 1
Автор ответа:
0
и в первом и во втором, выражения будут равняться ровно 9
Приложения:
Похожие вопросы
Предмет: Другие предметы,
автор: nastysidori17
Предмет: Французский язык,
автор: n7601855
Предмет: Химия,
автор: iuq80361
Предмет: География,
автор: Kamilysichka