Предмет: Математика,
автор: Brondes
помогите решить пожалуйста
Приложения:
Ответы
Автор ответа:
1
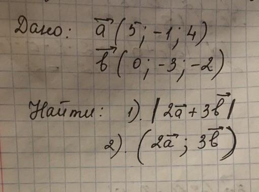
Ответ:1)15
2)-30
Пошаговое объяснение:1)над векторами надо ставить черточки или стрелочки. Договоримся, что у меня их не будет? Нет такой возможности.
2а+3в=(10;-2;8)+(0;-9;-6)=(10; -11; 2)
Модуль суммы векторов=√(100+121+4)=√225=15
Скалярное произведение векторов 2а на 3в равно
(10;-2;8)*(0;-9;-6)=10*0+2*9-8*6=18-48=-30
Похожие вопросы
Предмет: Химия,
автор: urijorlovskij14
Предмет: Математика,
автор: 0skaslajsc
Предмет: Математика,
автор: veronikakrapivnaa29
Предмет: Геометрия,
автор: марал15