Предмет: Алгебра,
автор: MenPelmen
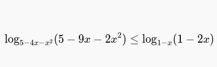
Свести неравенство

к неравенству без использования логарифмических и им подобных функций.
P. S. Если что, исходное неравенство есть на фотке, но оно сводится к данному выше при определенных заменах. Если знаете другие способы - можете написать
Приложения:
MenPelmen:
Дополнил вопрос
Ответы
Автор ответа:
1
▪решение приложено ▪
Приложения:
Похожие вопросы
Предмет: Английский язык,
автор: amonski0083
Предмет: Английский язык,
автор: strelcovsasha626
Предмет: Биология,
автор: artem113m
Предмет: География,
автор: MINDZALEG
Предмет: Литература,
автор: знакомьтесь