Предмет: Алгебра,
автор: elena6017
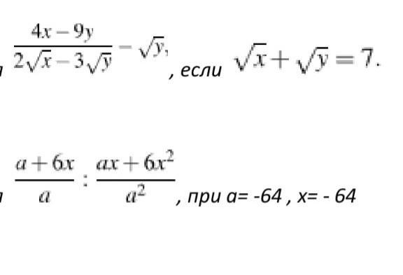
Ребятки помогите пожалуйста)❤. Найти значение выражения
Приложения:
elena6017:
ребяяяят. помогите
ну ребят не гоните. помогите плиз да
Ответы
Автор ответа:
1
1. 4х-9у / 2√х-3√у - √у = (2√х-3√у)(2√х+3√у) / 2√х-3√у - √у = 2√х+3√у-√у =
= 2√х+2√у = 2(√х+√у)
2(√х+√у) = 2*7 = 14
2. а+6х / а : ах+6х² / а² = а+6х / а * а² / х(а+6х) = а/х = -64/ -64 = 1
Похожие вопросы
Предмет: Русский язык,
автор: xacyect
Предмет: Геометрия,
автор: muratdusenbekov315
Предмет: Қазақ тiлi,
автор: gamzatrahimov2008
Предмет: История,
автор: lera159251
Предмет: Математика,
автор: яяя0001