Предмет: Алгебра,
автор: alenaa6930
помогите пожалуйста 1,5,6,9,10
даю 20 баллов !
Приложения:
Ответы
Автор ответа:
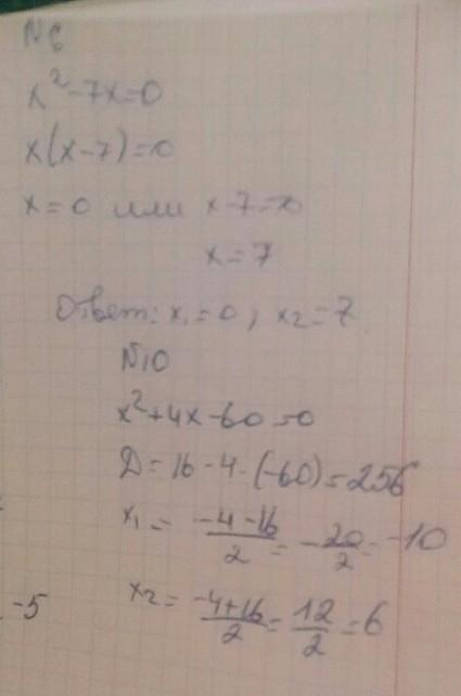
1
Решение во вложении!!!
Приложения:
alenaa6930:
можете 1 сделать
пожалуйста
во вложении
спасибо огромное ☺️
Похожие вопросы
Предмет: Музыка,
автор: savejgb6
Предмет: Математика,
автор: bagirablek12061969
Предмет: География,
автор: hudoznikotslovadozdi
Предмет: История,
автор: макарррррр
Предмет: Физика,
автор: котикхипстер