Предмет: Математика,
автор: kadishaaituganova48
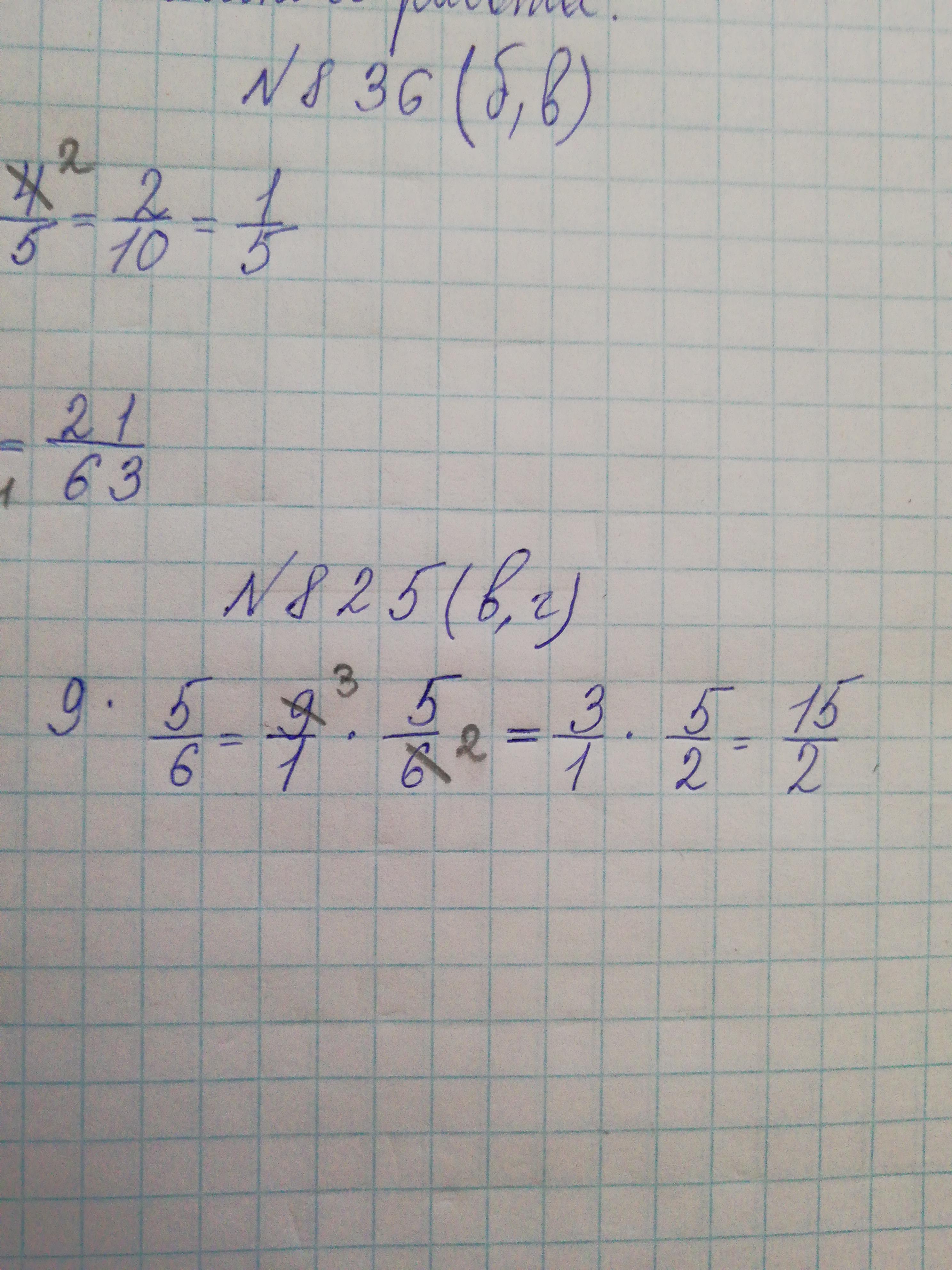
Не знаю что делать с неправильной дробью, помогите.
Приложения:
Ответы
Автор ответа:
2
Ответ: это будет 7,5
Пошаговое объяснение:
15/2 мы дробь домнажаем на 5 и получается 75/10, а эту дробь можно перевести в десятичную= 7,5
kadishaaituganova48:
Спасибо
Похожие вопросы
Предмет: Биология,
автор: Аноним
Предмет: Химия,
автор: prkatis
Предмет: Математика,
автор: anelkairulla
Предмет: Математика,
автор: Jjjjjj1234556
Предмет: Математика,
автор: НастяСидорова1