Предмет: Математика,
автор: kristinanizamutdinov
Срочна дам 30 баллов
Приложения:
jekadva:
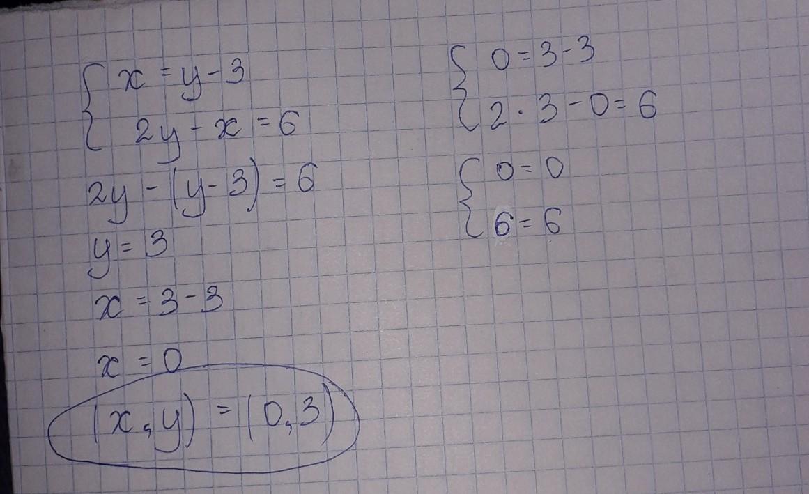
0 ; 3
Ответы
Автор ответа:
0
всё решение здесь
УДАЧИ:D
Приложения:
Похожие вопросы
Предмет: Русский язык,
автор: 35466989
Предмет: Математика,
автор: Oletta0gecko
Предмет: Математика,
автор: ultrolime0056
Предмет: Биология,
автор: Аноним
Предмет: История,
автор: Safrona13