Предмет: Алгебра, автор: QwQtapo4ek

Найти производную сложной функции (x-2)√(2x²-7x)/4x³


akhunovaaliyap6akzm: Надеюсь я в расчетах не ошиблась.
Evgenia4836: а под корнем дробь или только (2x²-7x)?
QwQtapo4ek: Под корнем только 2x²-7x

Ответы

Автор ответа: akhunovaaliyap6akzm
1
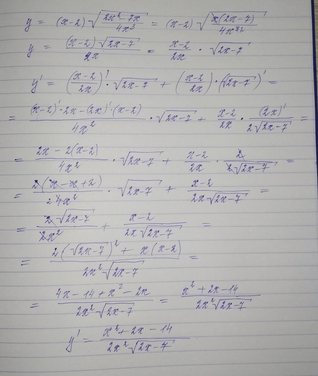
Решение на фото в приложении.
Приложения:

Evgenia4836: Даже если иметь в виду под корнем вся дробь, у вас ответ не верный.
akhunovaaliyap6akzm: я условие правильно написала?
Evgenia4836: Задающий так и не ответил вся дробь под корнем у него или только числитель. Если считать что вся дробь, то верно условие переписано. Посчитано неверно. В ответе числитель другой. Знаменатель верный
akhunovaaliyap6akzm: а этот вариан)) правда знаменатель изменился.
Evgenia4836: Теперь верный числитель, а в знаменателе должен быть просто x, без квадрата)
Evgenia4836: а нет, все верно. в квадрате. да.
Evgenia4836: Так что если в условии под корнем дробь, этот ответ верный.
akhunovaaliyap6akzm: ок! Тогда ждём ответа от автора вопроса!
Автор ответа: natalyabryukhova
1

производная сложной функции

Приложения:

Evgenia4836: Странно, но я когда высчитываю, то ни один ни другой ответ не получается, но ваш гораздо ближе
Evgenia4836: У вас в условии нет (x-2)
natalyabryukhova: добавила
Похожие вопросы
Предмет: Алгебра, автор: incognito3352