Предмет: Алгебра, автор: Lenamokuna

Решите пожалуйста, умоляю

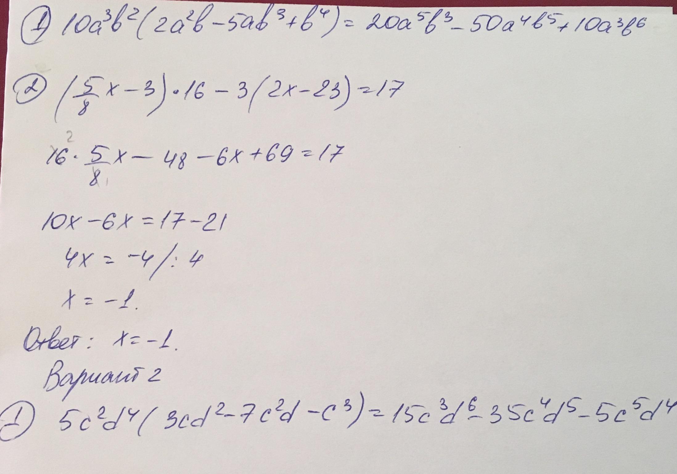
Приложения:

Ответы

Автор ответа: artemevaan
1

Решение во вложение. Удачи;)

Приложения:
Похожие вопросы
Предмет: Українська мова, автор: fedosik666
ОЧЕНЬ-ОЧЕНЬ НАДО!!!!!!!!
Відновіть і запишіть текст, уставляючи замість крапок пропущені відокремлені члени.

В очах сучасників героїчна смерть Дмитра Вишневецького перетворилася на символ незалежності християнського духу. Цьому підтвердженням є те, що вже через кілька тижнів після смерті князя була написана елегія латинською мовою, ... . Її автором став німець Йоган Зоммер. А наприкінці 60-х років XVI ст. відомий збирач народних пісень записав до свого збірника жалібну версію пісні про козака Байду. Староукраїнське слово «байдувати» означало майже те саме, що й «козакувати», а саме вести вільне життя, ... .

Ось так історична постать князя Дмитра Вишневецького перетворилася на легендарного пісенного персонажа — ... . Він, ..., йде на вірну смерть і виявляє при цьому найвищі козацькі чесноти: зневагу до розкішного життя, ..., відданість православній християнській вірі, стійкість до фізичних мук, незалежність перед ворогами і жагу боротьби навіть перед лицем смерті.

Предмет: Алгебра, автор: Zolotareva787