Предмет: Математика,
автор: katestep232323
сколько будет
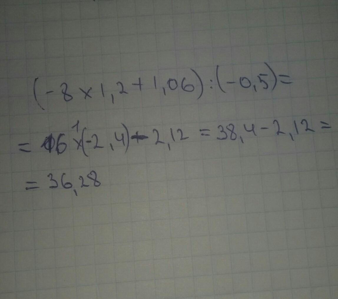
(-8×1,2+1,06)÷(-0,5)??? Помогите пожалуйста!!!
Ответы
Автор ответа:
1
Удачи!!!!В решении примеров)
Приложения:
katestep232323:
спасибо большое!!!!!!!!!!!
Да обращайся))
Похожие вопросы
Предмет: Литература,
автор: Yarkek228
Предмет: Математика,
автор: sonjakoshkina38
Предмет: История,
автор: Albina3106
Предмет: Математика,
автор: Kelli100500
Предмет: Математика,
автор: Заватра