Предмет: Алгебра,
автор: nikitcat39
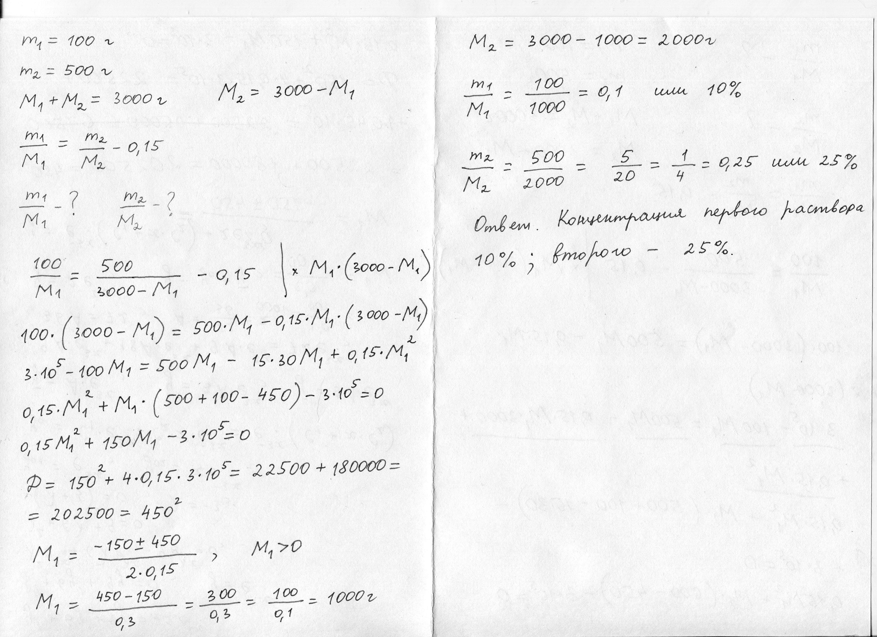
После смешивания двух солевых растворов, один из которых содержал
100 г соли, а другой 500
г, получили 3 кг нового раствора. Найдите концентрацию каждого из первоначальных растворов, если концентрация первого раствора была на 15 %
меньше концентрации второго.
Приложения:
Ответы
Автор ответа:
11
я написал решение на листочке ===>>
Приложения:
nikitcat39:
Спасибо вам большое, а то туплю что-то сегодня)
Похожие вопросы
Предмет: История,
автор: ulanakor3
Предмет: Русский язык,
автор: masha252006
Предмет: Физика,
автор: aaaaaaa241
Предмет: Музыка,
автор: maxim8383
Предмет: Математика,
автор: nikolaeva699