Предмет: Алгебра,
автор: dashil2005
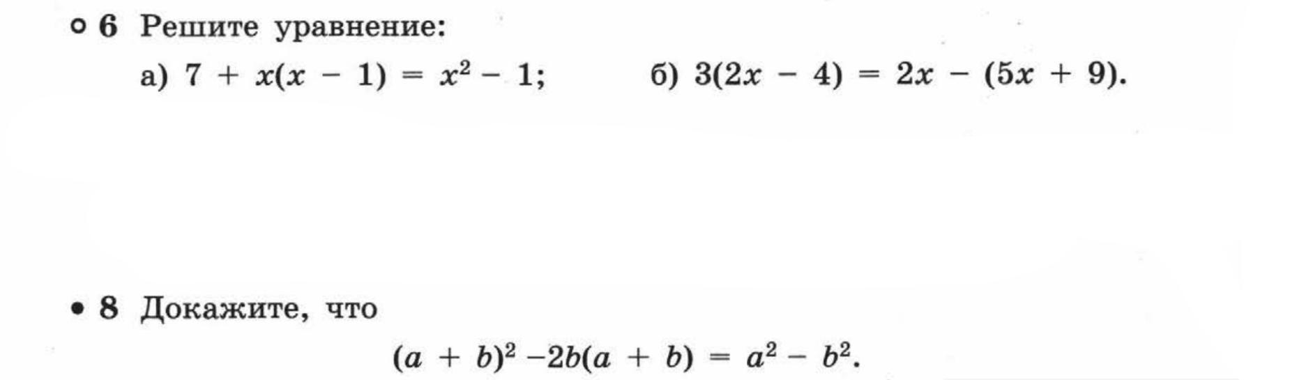
Решите 2 номера по алгебре.
Приложения:
Ответы
Автор ответа:
1
!!!!!!!!!!!!!!!!!!!!!!!!!!!!!111
Приложения:
Автор ответа:
1
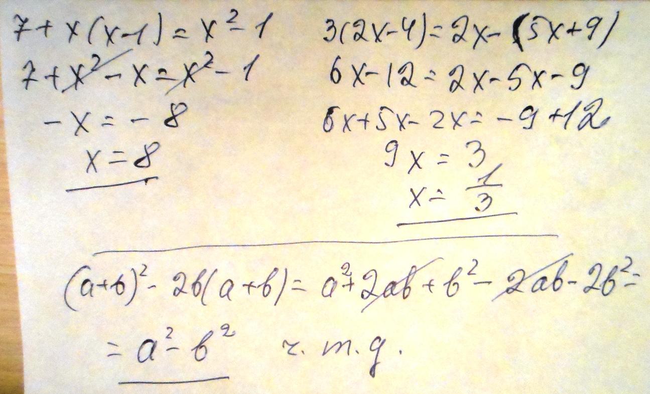
1) 7+х×(х-1)+х²-1.
7+х²-х-х²-1,
6-х,
Відповідь: 6-х
2) 3(2х-4)=2х-(5х+9).
6х-12=2х-5х-9,
6х-12= -3х-9,
6х+3х= -9+12,
9х=3,
Відповідь: х=1/3 або х=3⁻¹.
Похожие вопросы
Предмет: Русский язык,
автор: Аноним
Предмет: Русский язык,
автор: nastyakrulova0569
Предмет: Биология,
автор: sedinaira785
Предмет: Математика,
автор: Ksyusha231106
Предмет: Информатика,
автор: Dino1337