Предмет: Алгебра,
автор: colourful020412
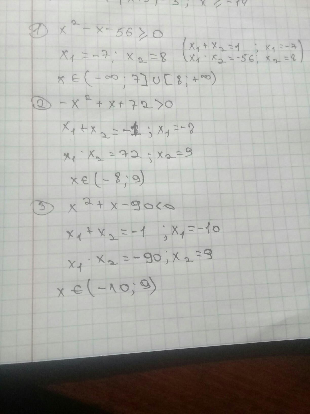
Решите квадратное неравенство:
1)х^2-х-56≥0;
2)-х^2+х+72>0;
3)x^2+x-90<0;
Ответы
Автор ответа:
42
..............................
Приложения:
Похожие вопросы
Предмет: Английский язык,
автор: taetaekimmm
Предмет: Алгебра,
автор: volkzeleznyj225
Предмет: Математика,
автор: polinashipiklo
Предмет: Математика,
автор: valeriy22102003
Предмет: Математика,
автор: Tasha86