Предмет: Алгебра,
автор: MilanaArs
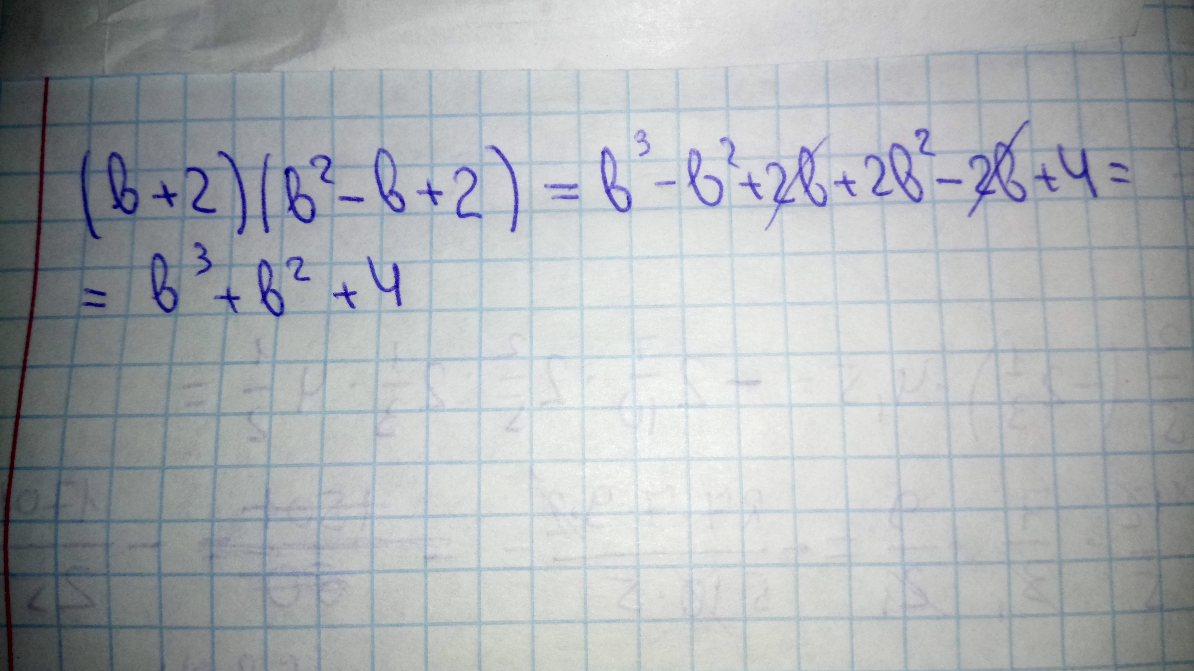
(b+2)(b²-b+2)
Подробно
Ответы
Автор ответа:
6
Решение задания приложено
Приложения:
Похожие вопросы
Предмет: Русский язык,
автор: karinakrivcun25730
Предмет: Математика,
автор: Аноним
Предмет: Математика,
автор: tanyushashvets94
Предмет: Математика,
автор: мотобарус
Предмет: Алгебра,
автор: 9Help9