Предмет: Математика,
автор: Dobrotebe
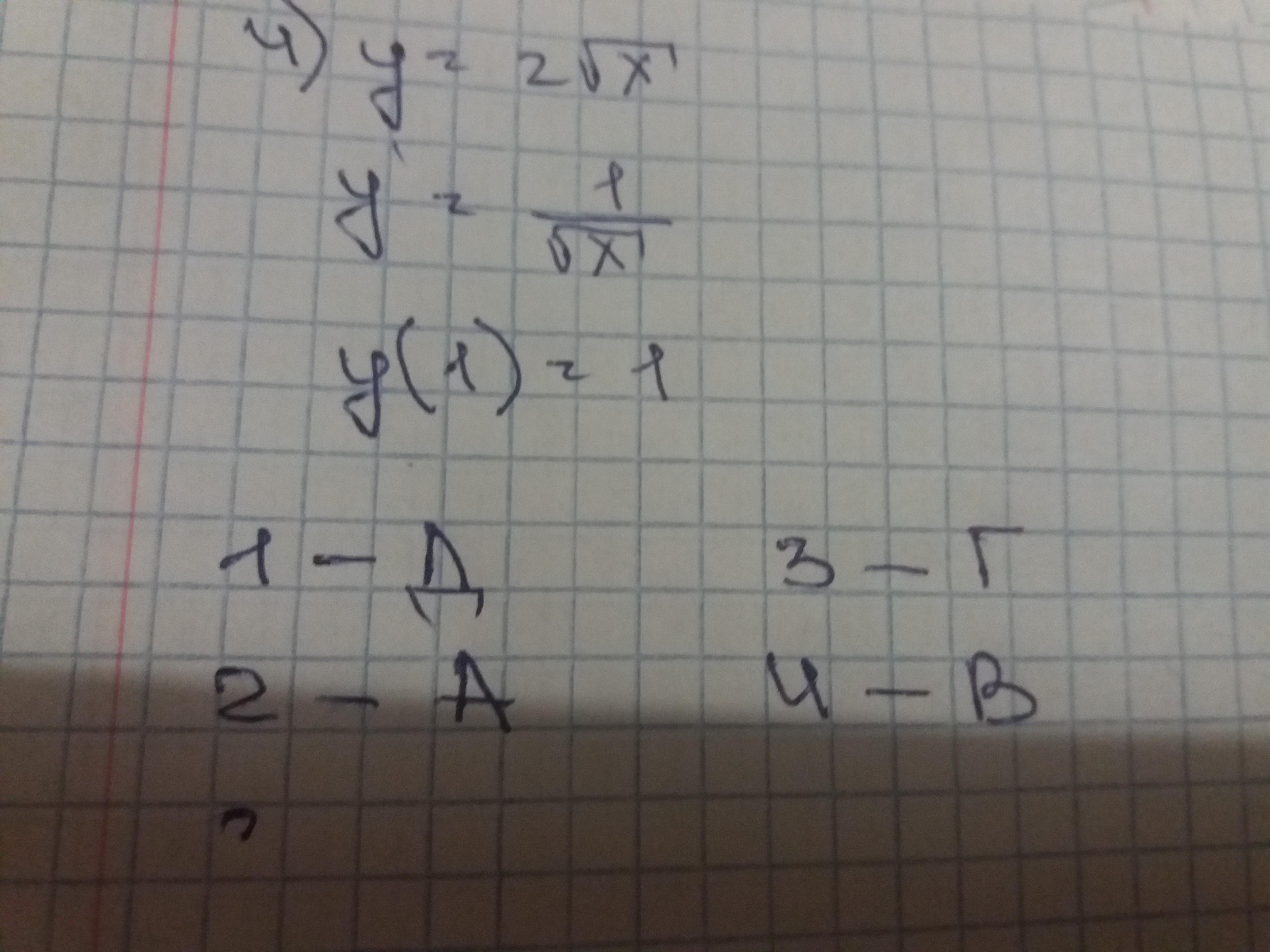
Установите соответствие между функциями и значениями их производных при Х = 1.
Пожалуйста, помогите
Приложения:
Ответы
Автор ответа:
1
Ответ:
1-д
2-а
3-г
4-в
Решение на фото
Приложения:
Dobrotebe:
Спасибо большое!
Похожие вопросы
Предмет: Физика,
автор: linassop
Предмет: Алгебра,
автор: bigfinitex
Предмет: География,
автор: brotockaru
Предмет: Математика,
автор: innafesenko80