Предмет: Математика,
автор: Аноним
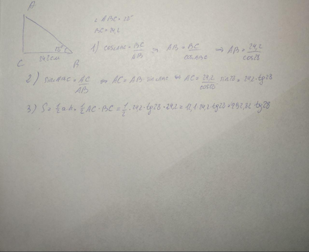
В прямоугольном треугольнике острый угол равен 28 градусов, а принадлежащий к этому углу катет 24,2 см. Вычислите другой катет, гипотенузу и площадь
Ответы
Автор ответа:
0
Ответ в приложении, находим стороны через синус и косинус 28
Приложения:
Автор ответа:
0
Ответ: гипотенуза - 27,4 см, второй катет - 12,9 см, площадь - 156,09 см2
Пошаговое объяснение:
cos28=24,2/c
c=24,2/cos28= 27,4
tan28=b/24,2
b=tan28*24,2= 12,9
S=0,5*a*b=
=0,5*24,2*12,9= 156,09 см2
Похожие вопросы
Предмет: Математика,
автор: ant12090909
Предмет: Математика,
автор: Аноним
Предмет: Математика,
автор: FelixPeka
Предмет: Математика,
автор: May03
Предмет: Математика,
автор: AvgustaV