Предмет: Математика,
автор: lubkka
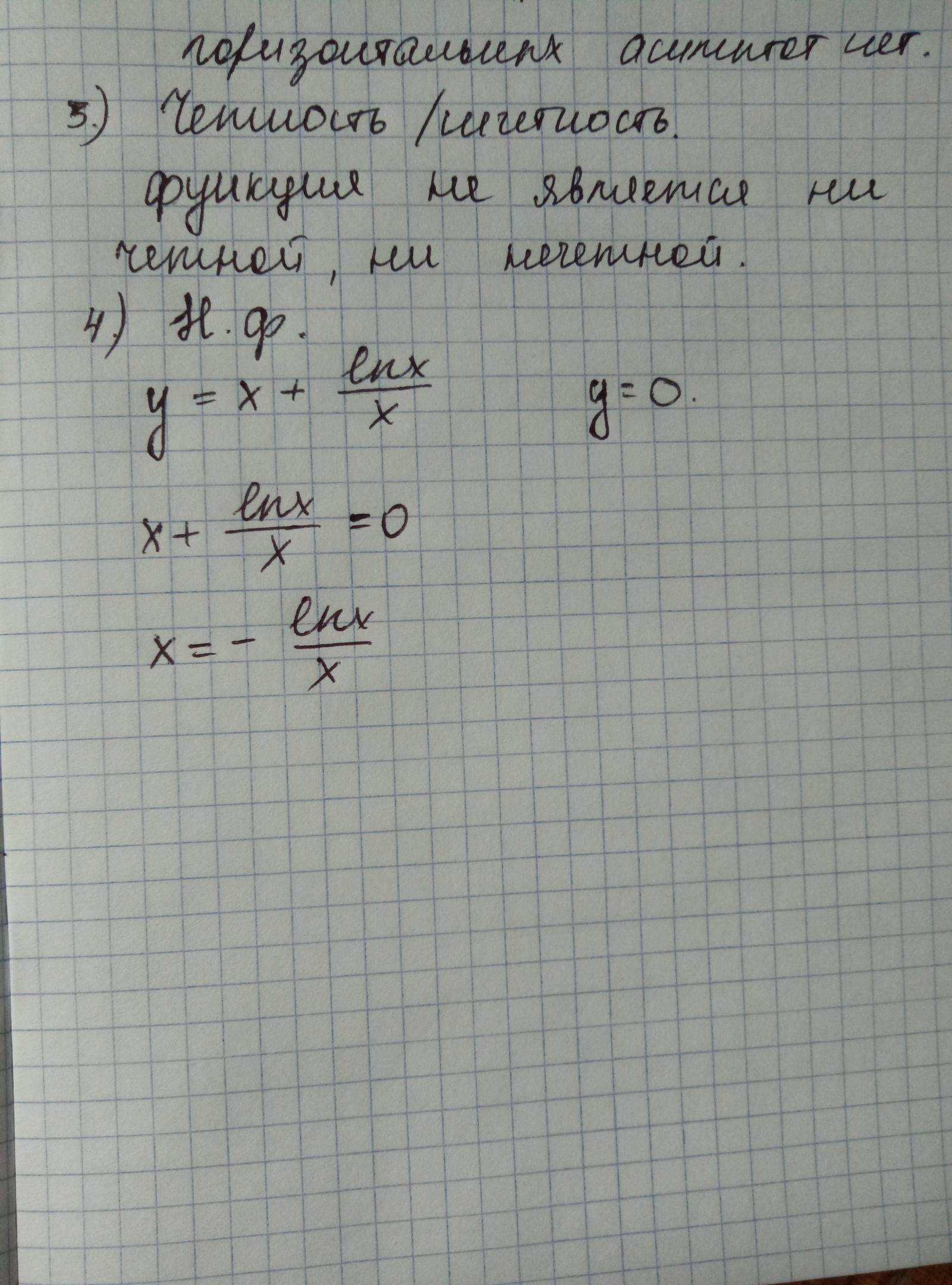
Найти нули функции(чему равно х)
Приложения:
Ответы
Автор ответа:
0
такие уравнения решаются графически.
Приложения:
Похожие вопросы
Предмет: Химия,
автор: zmeitv2018
Предмет: Другие предметы,
автор: gulyaali1970
Предмет: Физика,
автор: filatovmaksim185
Предмет: Алгебра,
автор: rinata2003