Предмет: Математика, автор: vladik6161

Решите пожалуйста срочно нужно ​

Приложения:

Ответы

Автор ответа: Trofimkirillov
0

1)6/17-1/3=18/51-17/51=1/51

2)1 2/3:1/51=5/3:1/51=5/3*51/1=5/1*17/1=85/1=85

3)3*4/7=(3*4)/7=12/7=1 5/7

4)85-1 5/7=595/7-12/7=583/7=83 2/7

Ответ:83 2/7

Автор ответа: julysoboleva
1

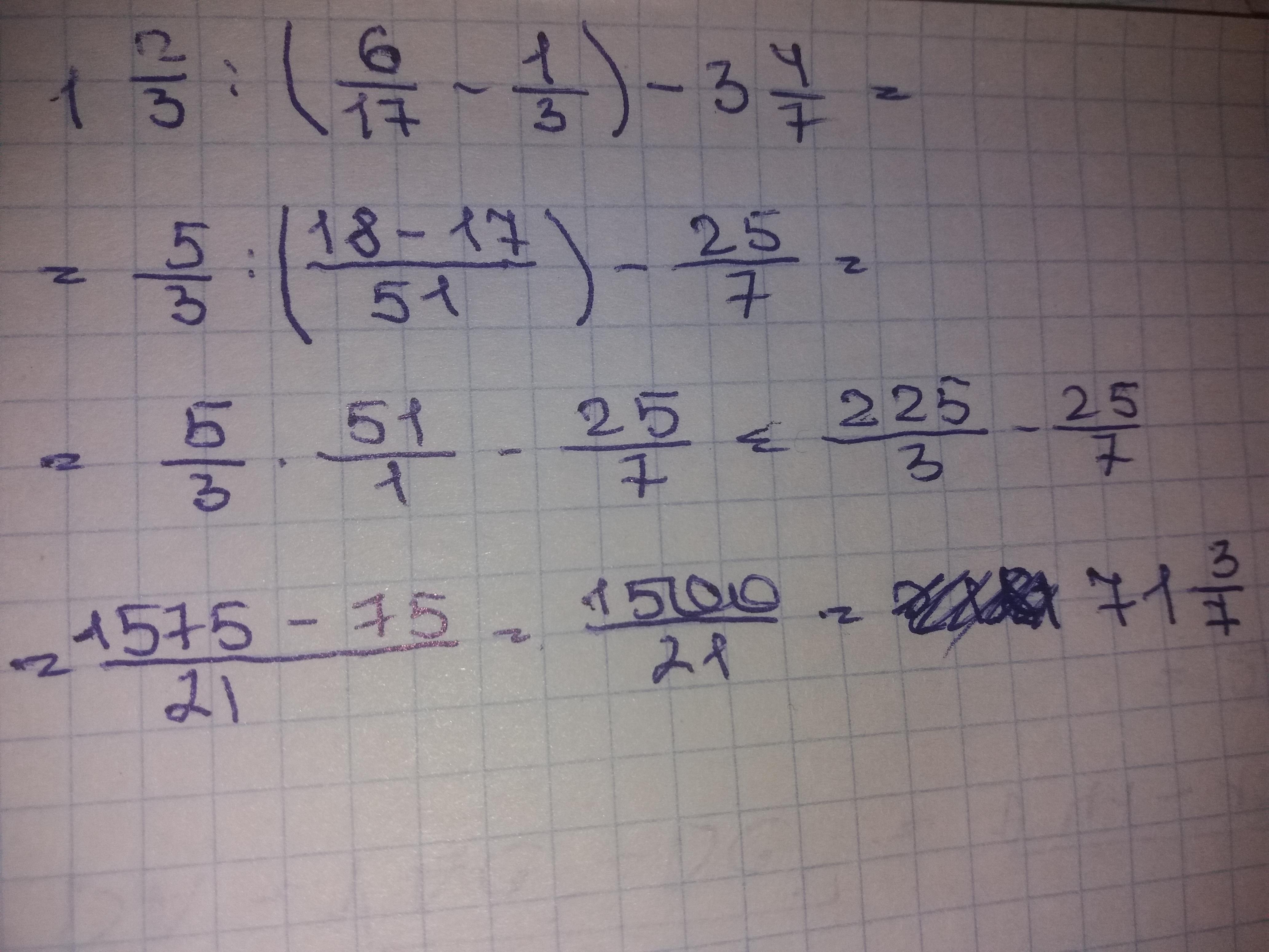
Решение смотрите на фото

Приложения:
Похожие вопросы
Предмет: Математика, автор: clashroyal35127
помогите помогите помогите помогите помогите помогите помогите помогите помогите помогите помогите помогите помогите помогите помогите помогите помогите помогите помогите помогите помогите помогите помогите помогите помогите помогите помогите помогите помогите помогите помогите помогите помогите помогите помогите помогите помогите помогите помогите помогите помогите помогите помогите помогите помогите помогите помогите помогите помогите помогите помогите помогите помогите помогите помогите помогите помогите помогите помогите помогите помогите помогите помогите помогите помогите помогите помогите помогите помогите помогите помогите помогите помогите помогите помогите помогите помогите помогите помогите помогите помогите помогите помогите помогите помогите помогите помогите помогите помогите помогите помогите помогите помогите помогите помогите помогите помогите помогите помогите помогите помогите помогите помогите помогите помогите помогите помогите помогите помогите помогите помогите помогите помогите помогите помогите помогите помогите помогите помогите помогите помогите помогите помогите помогите помогите помогите помогите помогите помогите помогите помогите помогите помогите помогите помогите помогите помогите помогите помогите помогите помогите помогите помогите помогите помогите помогите помогите помогите помогите помогите помогите помогите помогите помогите помогите помогите помогите помогите помогите помогите помогите помогите помогите помогите помогите помогите помогите помогите​​
Предмет: Математика, автор: sabinakurbanova0009
Предмет: Математика, автор: AbuMirvari