Предмет: Математика,
автор: pat591
Можно сделать что выделено ?
Приложения:
Ответы
Автор ответа:
4
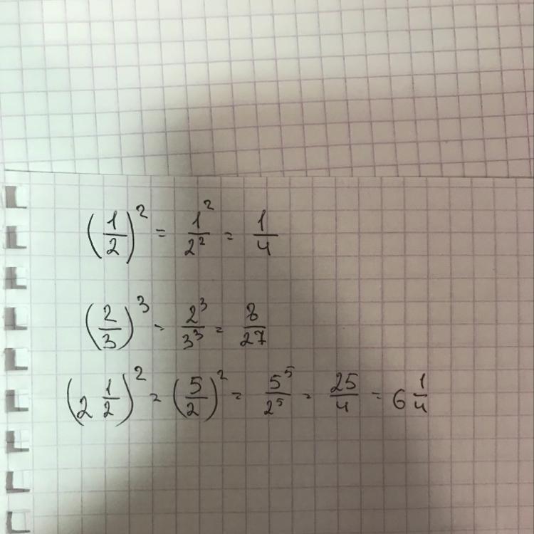
Вот пожалуйста!!!!!!!!
Приложения:
Автор ответа:
3
Ответ во вложении.........
Приложения:
Похожие вопросы
Предмет: Математика,
автор: nastusha2010
Предмет: Математика,
автор: vladashunaeva
Предмет: Английский язык,
автор: mashungalya
Предмет: Математика,
автор: maxim651
Предмет: Физика,
автор: milanivilia