Предмет: Математика,
автор: IrinaG2008
Помогите решить . Заранее спасибо
Приложения:
Ответы
Автор ответа:
1
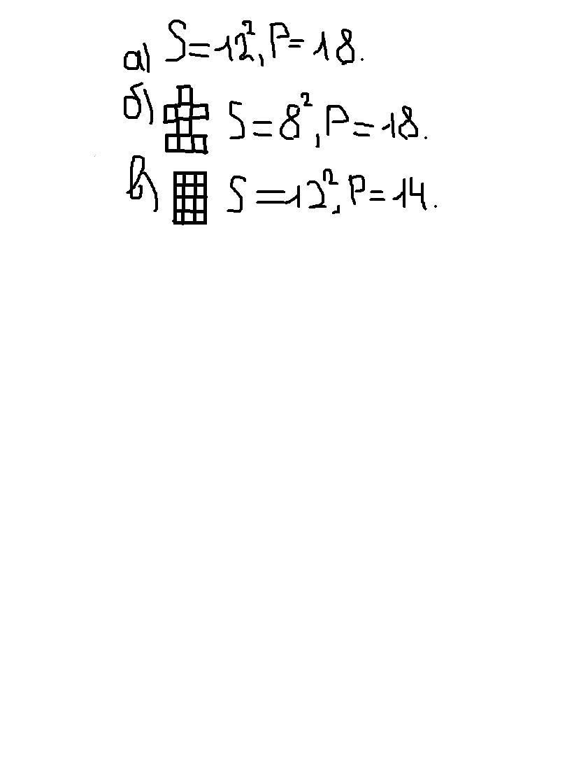
Ответ:
Пошаговое объяснение:
Приложения:
Похожие вопросы
Предмет: Українська мова,
автор: kryzhanovskijevgenij
Предмет: Математика,
автор: dashabiryukova123
Предмет: Английский язык,
автор: Аноним
Предмет: Физика,
автор: lelyafaychuk
Предмет: География,
автор: хасэ