Предмет: Алгебра,
автор: Aidar48
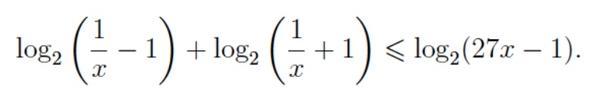
Помогите пожалуйста
Приложения:
Ответы
Автор ответа:
1
ну не знаю так или не так ....
нас в Физ-Мате учили так делать..
Приложения:
Автор ответа:
0
!!!!!!!!!!!!!!!!!!!!!!!!!
Приложения:
Похожие вопросы
Предмет: Математика,
автор: thehrozex
Предмет: Литература,
автор: naraesimova95
Предмет: Математика,
автор: asselkirillina191000
Предмет: История,
автор: katy20042