Предмет: Физика,
автор: s1mb4yo
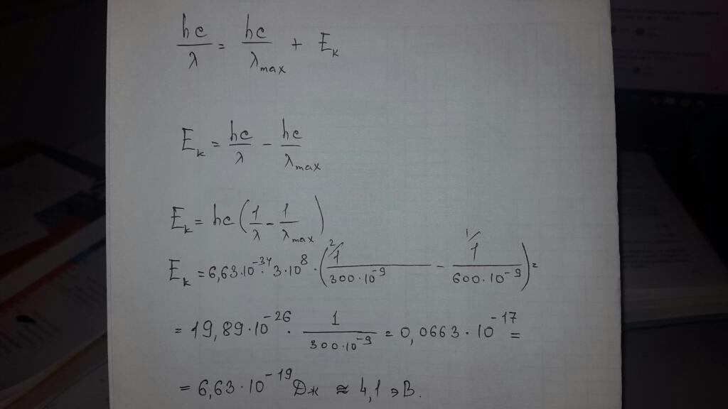
Красная граница фотоэффекта для некоторого металла равна Лямбда кр =600 нм на поверхность металла падает свет с длинной волны лямбда=300 нм. Найти максимальную кинетическую энергию фотоэлектронов, выбиваемых с поверхности металла. Постоянная Планка h=6.63*10^-34
Ответы
Автор ответа:
3
задача решвется по формуле Эйнштейна для фотоэффекта.
Приложения:
Похожие вопросы
Предмет: Обществознание,
автор: asyakotova2009
Предмет: Математика,
автор: kk1694556
Предмет: Математика,
автор: boanmiha
Предмет: Физика,
автор: bearnastia6
Предмет: Биология,
автор: VikaRamm0970