Предмет: Алгебра, автор: murzagim

Помогите а иначе БАН​

Приложения:

murzagim: кста, ответ на листочке

Ответы

Автор ответа: NNNLLL54
0

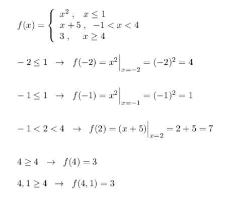
f(x)=\left\{\begin{array}{l}x^2\; ,\; \; \; x\leq 1\\x+5\; ,\; \; -1<x<4\\3\; ,\quad \; x\geq 4\end{array}\right\\\\\\-2\leq 1\; \; \to \; \; f(-2)=x^2\Big |_{x=-2}=(-2)^2=4\\\\\\-1\leq 1\; \; \to \; \; f(-1)=x^2\Big |_{x=-1}=(-1)^2=1\\\\\\-1<2<4\; \; \to \; \; f(2)=(x+5)\Big |_{x=2}=2+5=7\\\\\\4\geq 4\; \; \to \; \; f(4)=3\\\\4,1\geq 4\; \; \to \; \; f(4,1)=3

Приложения:

murzagim: фига это шо
NNNLLL54: это редактор формул...перезагрузи страницу...не с телефона...
murzagim: ок
Похожие вопросы
Предмет: Алгебра, автор: AllaKatc