Предмет: Математика,
автор: miroslavkhazov
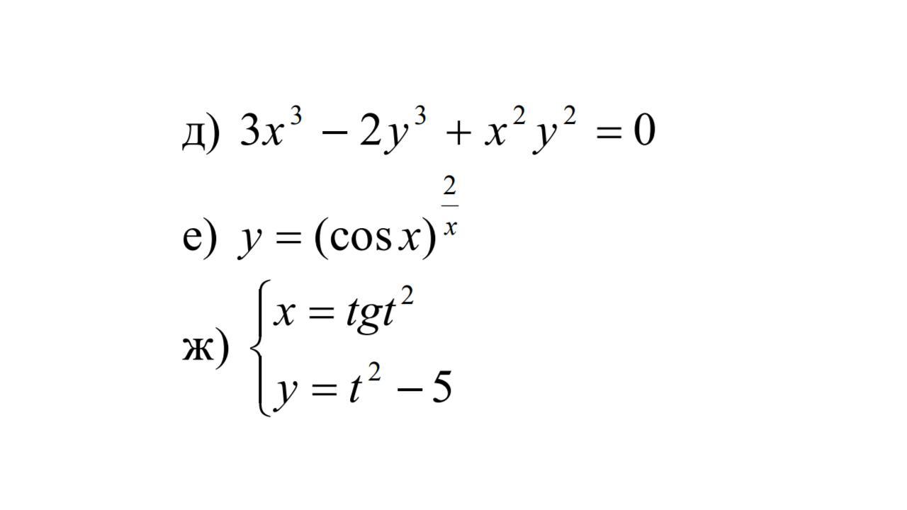
Помогите найти производные функции, на фото, ниже
Приложения:
Ответы
Автор ответа:
1
Ответ:
Пошаговое объяснение:
Приложения:
Похожие вопросы
Предмет: Қазақ тiлi,
автор: lauraaigojina
Предмет: Математика,
автор: meleskinanina9
Предмет: Физика,
автор: Uvkamilla
Предмет: Обществознание,
автор: kaa190700