Предмет: Физика,
автор: zapadlo007
В электрочайник налили 20 литров воды,при температуре 20 градусов Цельсия,вода закипает через 6 минут.Какова мощность электрочайника?Чему равно его сопротивление?Напряжение в розетке 220 вольт
Ответы
Автор ответа:
0
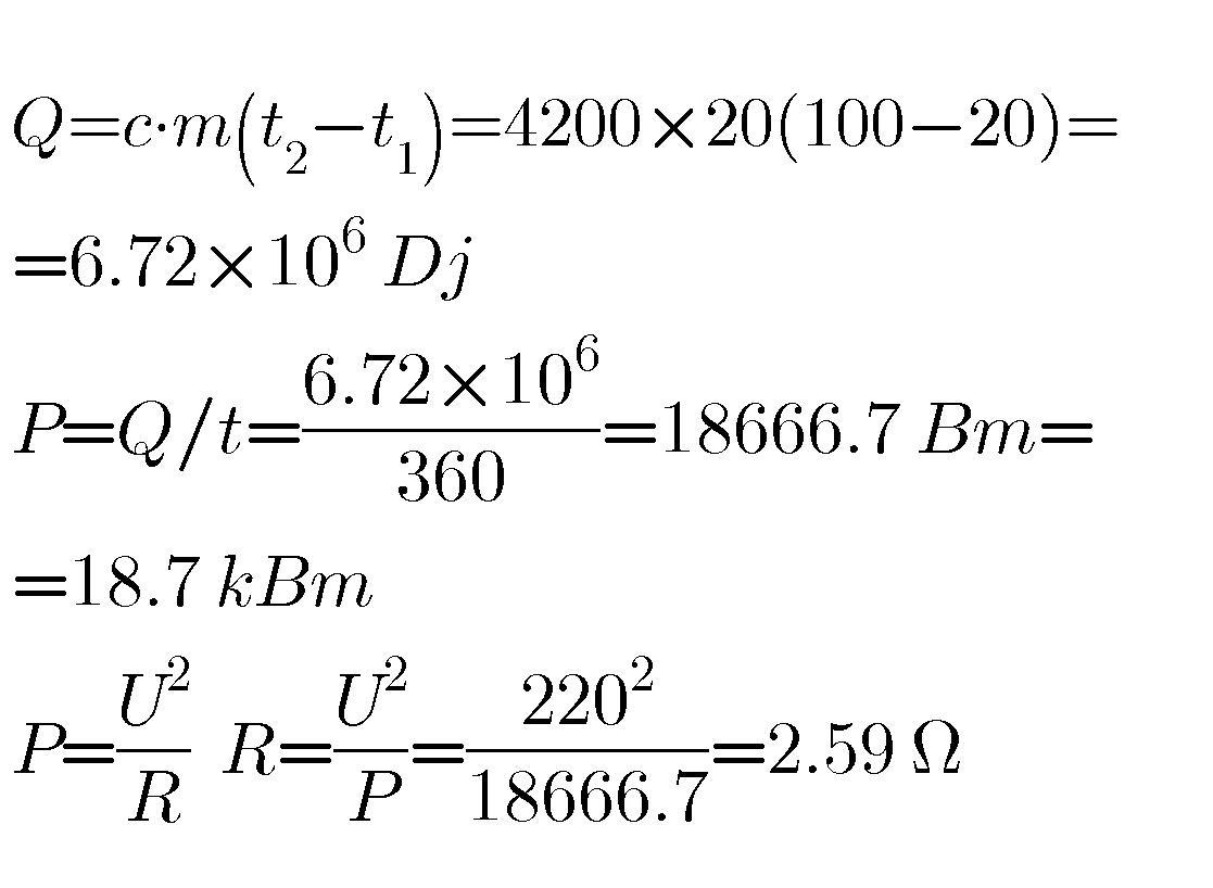
Смотри решение на картинке
Q количество теплоты на нагревание 20 л воды от 20 до 100 градусов
с= 4200 Дж/(кг×К) удельная теплоемкость воды
t время нагревания 6 мин = 360 секунд
Приложения:
Похожие вопросы
Предмет: Математика,
автор: alenasizikova49
Предмет: Алгебра,
автор: altaymacs
Предмет: География,
автор: dianakod51678
Предмет: История,
автор: albina1195
Предмет: Математика,
автор: thewhitewolf