Предмет: Математика,
автор: leyla2424
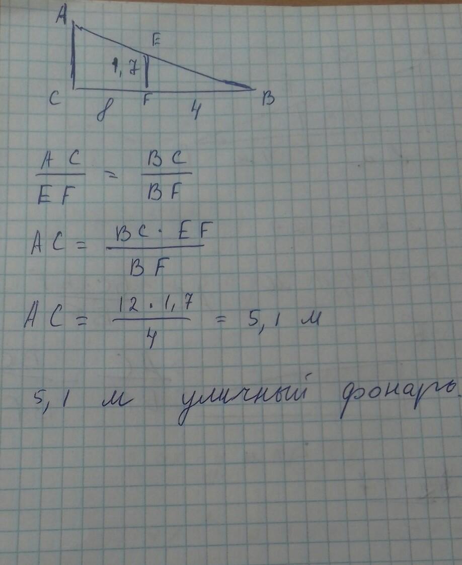
Человек ростом 1,7 м стоит на расстоянии 8 м от уличного фонаря. Длина тени
человека равна 4 м. Определите высоту фонаря (в метрах).
Ответы
Автор ответа:
4
Проверь, всё правильно?
Приложения:
net2910:
Ты какой класс?
Это вопрос в 9 классах!
я в девятом
а в ответах другое вообще
Какой ответ?
5,1
это точно?
да
Я сейчас исправлю
Да, прости вот исправленая работа
Похожие вопросы
Предмет: Русский язык,
автор: Аноним
Предмет: Русский язык,
автор: dilyara99ospanova
Предмет: Математика,
автор: iglaman23
Предмет: Обществознание,
автор: Апти10
Предмет: История,
автор: babintsevamadam1