Предмет: Алгебра,
автор: Dthjybxrf1boom
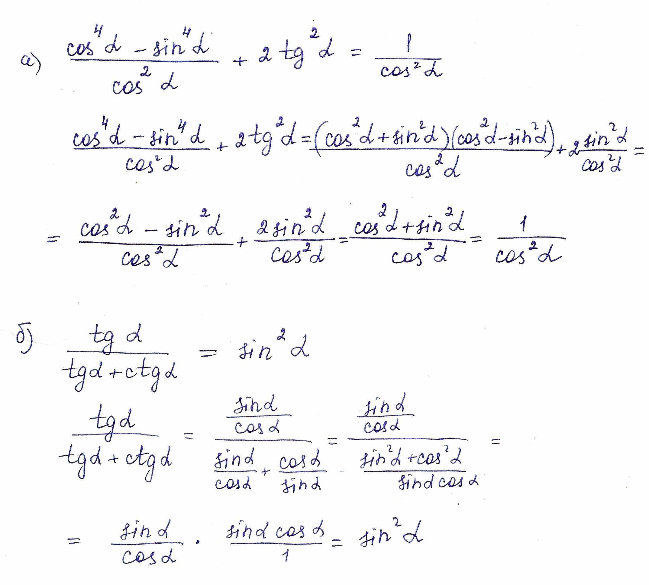
ТРИГОНОМЕТРИЯ!!! Помогите пожалуйста с подробным желательно решением. Один помог решить, но я не все понял
Приложения:
Ответы
Автор ответа:
2
ответ на фото\\\\\\\\\\\\\\\\\\\\\\\\\\\\\\\\\\\\\\\\\\\\\\\\\
Приложения:
Похожие вопросы
Предмет: Биология,
автор: malinarik83
Предмет: Информатика,
автор: romaaa234
Предмет: Қазақ тiлi,
автор: rinatrahymbaev085
Предмет: Физика,
автор: Hymag
Предмет: Математика,
автор: lera04032004