Предмет: Химия, автор: spinthemers23

70 балов!! Срочно, прошу вас

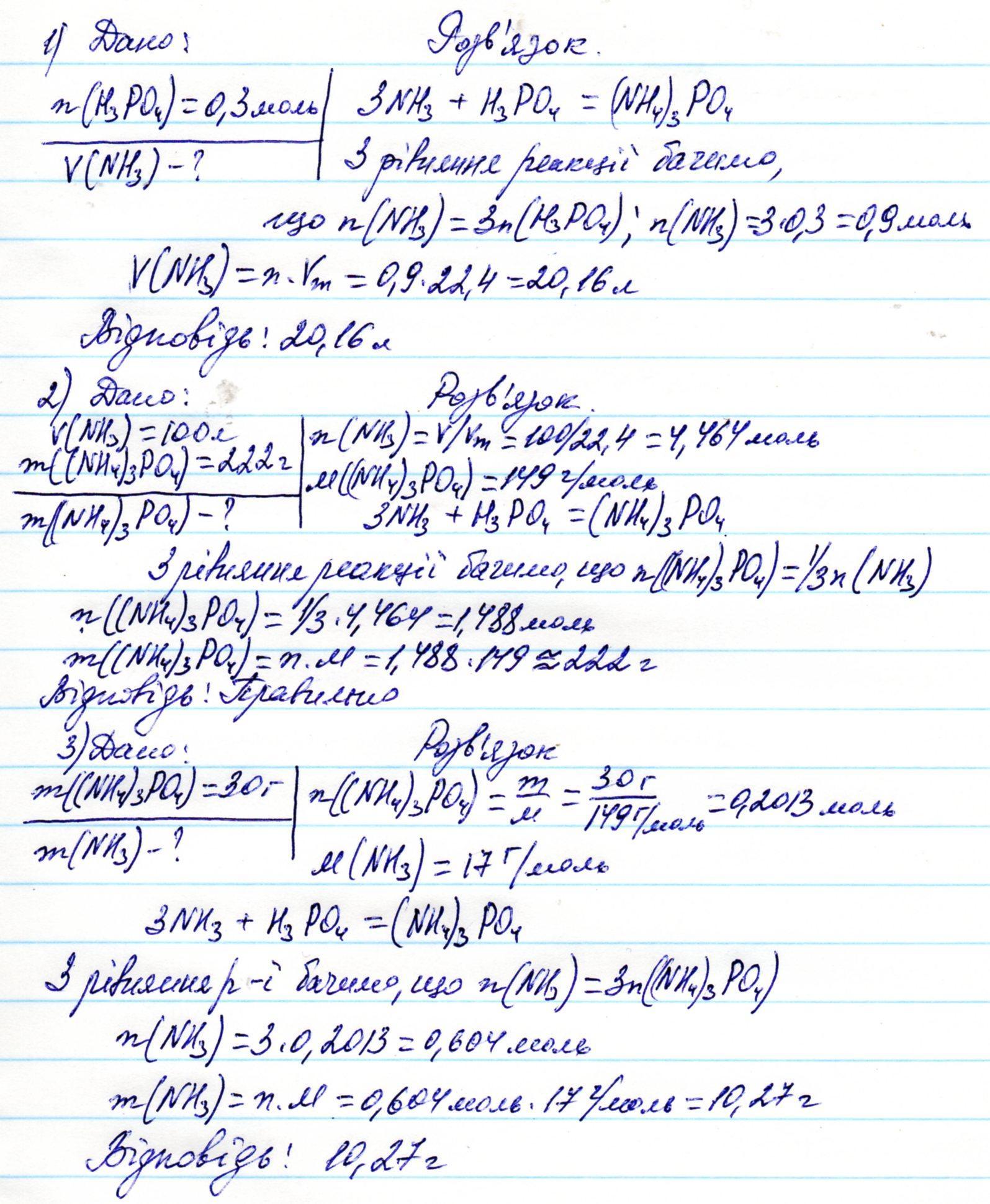
Приложения:

Ответы

Автор ответа: mrvladimir2
2

.................................................................................................

Приложения:
Похожие вопросы