Предмет: Математика, автор: Аноним

Помогите Плизз Решить Примеры​

Приложения:

Ответы

Автор ответа: Bowkers
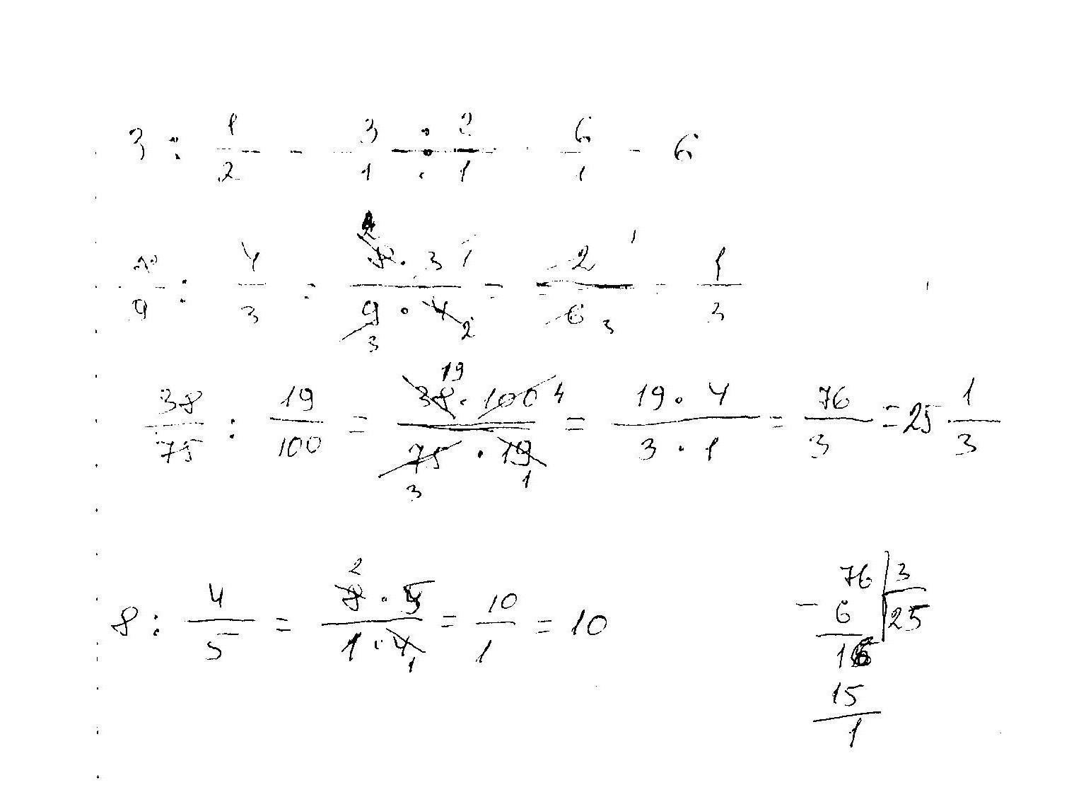
1

а) 1/6 : 1/2 = 1/6 · 2/1 = 1/3

б) 1/3 : 1/6 = 1/3 · 6/1 = 2

в) 3/7 : 6/7 = 3/7 · 7/6 = 1/2 = 0,5

г) 8/9 : 4/3 = 8/9 · 3/4 = 2/3

д) 15/16 : 10/24 = 15/16 · 24/10 = 18/8

е) 15/17 : 25/34 = 15/17 · 34/25 = 6/5

ж) 32/75 : 48/25 = 32/75 · 25/48 = 4/18

з) 38/75 : 19/100 = 38/75 · 100/19 = 8/3

и) 1/2 : 2 = 1/2 · 1/2 = 1/4 = 0,25

к) 2/5 : 3 = 2/5 · 1/3 = 2/15

л) 3 : 1/2 = 1/3 · 1/2 = 1/6

м) 8 : 4/5 = 1/8 · 4/5 = 1/10 = 0,1

Автор ответа: Саша0416
0

Ответ:

Ответ  смотри во вложениях.   Чтобы разделить дроби надо  первую дробь  умножить на перевернутую вторую  1/6: 1/2= 1/6*1/2= 1/3

Пошаговое объяснение:

Приложения:
Похожие вопросы
Предмет: Русский язык, автор: gurovsasa45
Помогите диктант
Хочет(?)ся ли вам хорош… учит(?)ся и получ..ть п..тёрки? На этот вопрос все учен..ки ответят пол..жительно. «А что нужно делать?» - спросят они.
Просто надо старат(?)ся (в) течени.. дня вып..лнять то, что зада(н,нн)о. (С) начала учебно..о года (не) обходимо пр..учить себя к этому и старат(?) ся делать р..боту качестве(н,нн) (в) продолжени.. всей уч..бы. Надо посовет..вать и своим товарищ..м поступать так(же).
Придя из школы (с) начала лу..ше (с,з)делать самые трудные уроки потому (что) их вып..лнение требует больше времени. За(то) останет(?)ся свободное время на любимые предметы и на хо(б,бб)и.
Пр..дп..ложим что учен..ку что (нибу..ь) не понятно. Однако (не) стоит обращат(?)ся сразу за раз..яснениями к старшим, а лу..ше заглянуть в сл..варь, в справоч(?)ную литературу. Это (не)ле..ко, за(то) полезно, потому (что) за (то) время, которое буд..т потраче(н,нн)о на чтение справоч(7)ной литературы, можно узнать много ново..о и инт..рес(?)ного.
(Не) обходимо больше читать! (Во) время ч(?)тения выпис..вать о..дельные инт..рес(?)ные мысли высказывания. Полезно так(же) понравивш..еся стихи зауч..вать (на)изусть, что(бы) об..г..щать свой язык разв..вать память. Тогда и получ..т ученик долгожда(н,нн)ую п..тёрку…