Предмет: Математика,
автор: snakewake1
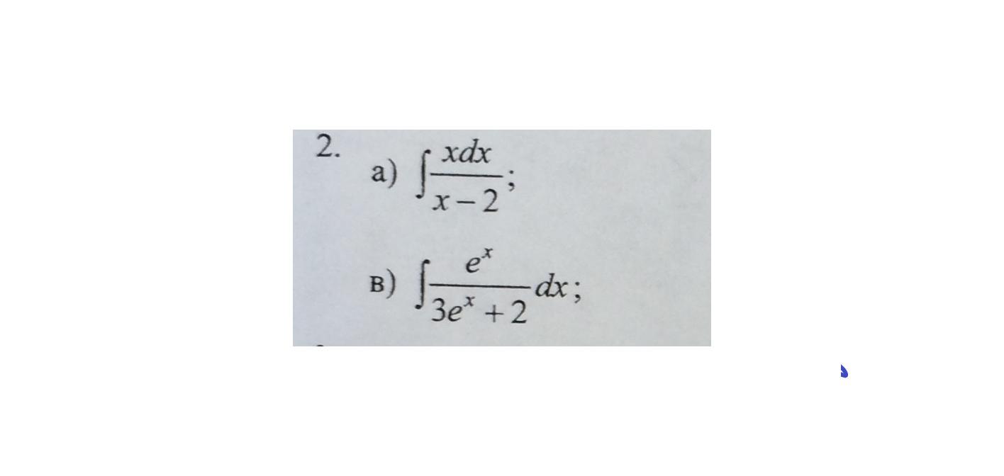
решите пожалуйста интегралы
Приложения:
Ответы
Автор ответа:
1
Решение на фотографии
Приложения:
Похожие вопросы
Предмет: Геометрия,
автор: nastyalazarets228
Предмет: Литература,
автор: Аноним
Предмет: Химия,
автор: 9Delight6
Предмет: Информатика,
автор: vladiks501sss
Предмет: История,
автор: sokrshamanoff