Предмет: Математика, автор: lianasayfutdinova200

Решите, даю 30 баллов
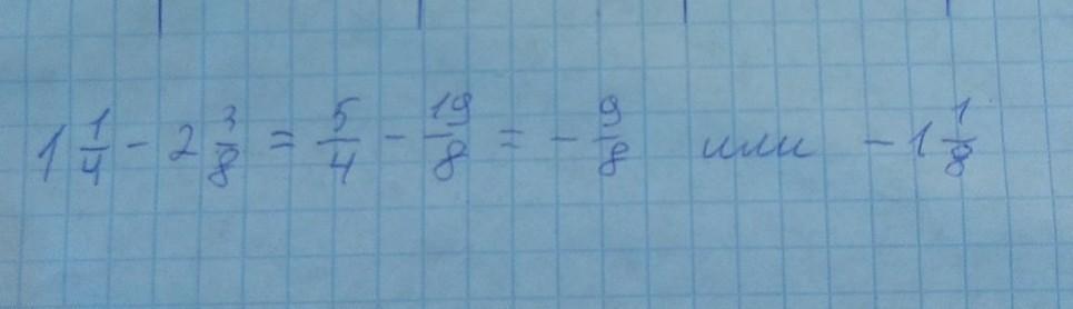
1 целых 1/4- 2 целых 3/8

Ответы

Автор ответа: Enotik4672
0

.......................

Приложения:

ulyanahomutinnikova: Нет расчётов
Автор ответа: ulyanahomutinnikova
0

           1 действие

1 целая 1/4-2 целых 3/8

                    1*4+1         2*8+3      5     19      10    19   10  19    9      1

1 1/4-2 3/8= _____  -  ______=___ -___=___-___=__-__= -__= 1_

                       4               8          4        8      8     8        8      8      8


ulyanahomutinnikova: Всё
love67: минус забыли)))
love67: а так верно
love67: 10/8-19/8=-9/8
ulyanahomutinnikova: ой,простите пожалуйста
love67: да ну что вы......все бывает)))
Похожие вопросы
Предмет: История, автор: oksenchuk912