Предмет: Алгебра,
автор: Jullika
Решите пожалуйста хоть что - нибудь из задания 1. WebRepОбщий рейтингУ этого сайта нет рейтинга(недостаточно голосов)
Приложения:
Ответы
Автор ответа:
0
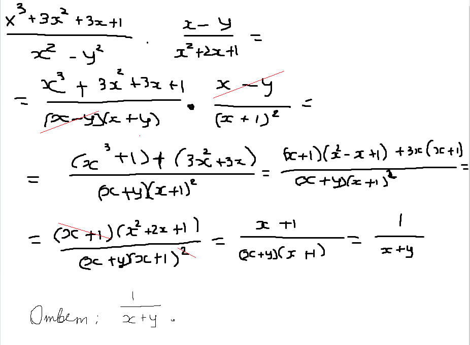
№ 1
a) Решение сделал в программе paint
Нравится?
a) Решение сделал в программе paint
Нравится?
Приложения:
Автор ответа:
0
//////////////////////////////////////////////////////////
Приложения:
Похожие вопросы
Предмет: Английский язык,
автор: olgapkolesnik
Предмет: Немецкий язык,
автор: Аноним
Предмет: Геометрия,
автор: fajzullindulat
Предмет: Алгебра,
автор: няшке
Предмет: История,
автор: grond